Research Contribution DOI:10.56994/ARMJ.012.00?.00?
Received: 18 Oct 2024; Accepted: 22 Jun 2025


Foam cobordism and the Sah-Arnoux-Fathi invariant

Mee Seong Im Department of Mathematics, Johns Hopkins University, Baltimore, MD 21218, USA (current) Department of Mathematics, United States Naval Academy, Annapolis, MD 21402, USA meeseong@jhu.edu  and  Mikhail Khovanov Department of Mathematics, Johns Hopkins University, Baltimore, MD 21218, USA (current) Department of Mathematics, Columbia University, New York, NY 10027, USA khovanov@jhu.edu
(Date: April 15, 2024)
Abstact.
This is the first in a series of papers where scissor congruence and K-theoretical invariants are related to cobordism groups of foams in various dimensions. A model example is provided where the cobordism group of weighted 1-foams is identified, via the Sah–Arnoux–Fathi invariant, with the first homology of the group of interval exchange automorphisms and with the Zakharevich first K-group of the corresponding assembler. Several variations on this cobordism group are computed as well.

Key words and phrases:
Foams, foam cobordism, Sah-Arnoux-Fathi invariant, interval exchange transformations, train tracks
2020 Mathematics Subject Classification:
Primary: 37E05, 37E99, 18M30, 19D99.

1 Introduction

In link homology by a foam, one usually means a 2-dimensional finite combinatorial CW-complex F, often embedded in 3, where each point has one of the three types of neighborhoods shown in Figure 1 below. Foams are used in algebraically-defined link homology to build state spaces of planar graphs, which are then combined into complexes that define the homology of a link [17, 20, 30, 28, 16]. Foams also appear in Kronheimer–Mrowka instanton Floer homology for 3-orbifolds [18].

Locally, the foam structure is that of a two-dimensional spine of a 3-manifold. Often, foams come with extra decorations, such as orientations, weights and other labels on facets.

In this paper, a closed 2-foam means a foam as above, with additional decorations specified. More generally, one can define a 2-foam with boundary, the boundary being a 1-foam. A 1-foam is a finite graph, possibly with loops and circle edges without vertices, and additional decorations. Splitting the boundary of a 2-foam F into two disjoint sets of components, F=(U0)U1, allows one to view F as a cobordism between 1-foams U0 and U1. Decorations of U0,U1 are induced from those of F.

This paper is the first in a series of papers which aim to use foams, in all dimensions n and with additional decorations, to understand K-theoretical structures. One expects that n-dimensional foams decorated by objects and morphisms of an exact category 𝒞, modulo concordances which are 𝒞-decorated (n+1)-dimensional foams, carry information about the n-th K-theory group Kn(𝒞) of 𝒞. Facets, respectively, seams of a foam are decorated by flat connections with objects of 𝒞, respectively short exact sequences of 𝒞, as fibers of these flat bundles. This relation between decorated foams and algebraic K-theory is started to be studied in [9].

The present paper works out a straightforward example of this correspondence, where the abelian group of suitably decorated one-dimensional foams modulo 2-dimensional cobordisms is identified with the group , which is the first homology of the group of interval exchange transformations [36]. The related invariant of interval exchange transformations mapping a group element to its image in the first homology is known as the Sah–Arnoux–Fathi invariant, or 𝖲𝖠𝖥 invariant, for short [34, 8]. I. Zakharevich interpreted the 𝖲𝖠𝖥 invariant map via the K1 group of a suitable assembler category [38, 37], and that category plays the role of the exact category 𝒞 above. In the present paper, we relate these structures to two-dimensional cobordisms between decorated one-dimensional foams.

In Section 2, we work out this new interpretation of the 𝖲𝖠𝖥 invariant, as classifying elements of the cobordism group of weighted oriented 1-foams. In this construction, edges of an oriented 1-foam are decorated by positive real numbers a, with compatibility relations on these numbers at the vertices. The cobordism group of such foams is identified with the abelianization of the group of interval exchange transformations (𝖨𝖤𝖳s) in Theorem 2.6. The isomorphism uses the Sah–Arnoux–Fathi invariant of 𝖨𝖤𝖳s, extended to arbitrary weighted oriented 1-foams.

Section 3 considers the cobordism group of planar unoriented weighted 1-foams and identifies it with the abelian group generated by brackets [a,b] with a,b>0 modulo the antisymmetry and the 2-cocycle relations (14)-(16). It also looks at a variation on weighted embedded foams, where each facet may carry either a positive or a negative weight. Several other variations on the group of foam cobordisms are studied in Section 4. Constructions of Sections 2 and 3 can perhaps be viewed as first steps exploring the relation between foam cobordisms and dynamical systems.

Acknowledgments: The authors are grateful to David Gepner, Nitu Kitchloo, and Inna Zakharevich for interesting discussions. The authors would like to thank the referees for detailed feedback on our paper. M.K. would like to acknowledge partial support from NSF grant DMS-2204033 and Simons Collaboration Award 994328.

2 Foams and interval exchange transformations

In this section we interpret the Sah–Arnoux–Fathi invariant of interval exchange transformations [34, 36, 8] via cobordism classes of oriented 1-foams with facets decorated by positive real numbers (called weighted or >0-decorated 1-foams).

2.1 Oriented 1-foams and 2-foams and cobordisms between 1-foams

In this paper, a closed 2-foam denotes a finite combinatorial CW-complex F, where each point is one of the three types and has a neighborhood as depicted in Figure 1; these points are called regular points, seam points and vertices of the 2-foam, respectively. The union of seams and vertices of F is a four-valent graph s(F), possibly with loops and verticeless circles. The connected components of Fs(F) are called the facets of F, and the set s(F) is called the singular points of F.

Refer to caption
Figure 1. Three types of points on a 2-foam. Left to right: a regular point, seam points on a seam interval, a vertex.
Refer to caption
Figure 2. A choice of facet orientations and an order of thin facets near a seam of an oriented 2-foam. Facet orientations are indicated by the three “cap” semicircular arrows. The two thin facets are shown as tangent to each other along the seam, which is a convenient convention for tracking thin facets.

A closed 2-foam is oriented if

  • Each facet is oriented so that along its seams and near its vertices, the orientations match as shown in Figure 2 (for seams) and Figure 3 on the right (for vertices). Along each seam, two of the facets are designated as thin and the remaining one as thick. The orientation of each thin facet matches (flows into) the orientation of the thick facet. Furthermore, the orientations of the two thin facets along a seam are opposite. A facet which is thin at one of its seams may be thick at another seam; this is a crucial difference from the foams mentioned at the beginning of Section 1.

  • An order of two thin facets along each seam is fixed (shown by the small curly arrow from one thin facet to the other in Figure 2).

  • At each vertex of the foam, the decorations (orientations and orders) of the six adjoint facets along the four seams match as follows (and shown in Figure 3 on the right). The six facets are labeled f1,f2,f3,f12,f13,f123. Among the triples of facets (f1,f2,f12),(f2,f3,f23),(f12,f3,f123),(f1,f23,f123), one triple for each seam, the first two facets are thin and the last one is thick. The facets are oriented either as shown in Figure 3 on the right or with all orientations opposite (which follows from the orientation requirements along the seams). The orders of the facets along the seams are as shown in Figure 3 on the left, in the direction of increasing indices, or the opposite (decreasing indices).

Refer to caption
Figure 3. Left: ordering of seams near a vertex, with facets labelled f1, f2, f3, f12, f23, f123. The orderings are from smaller to larger indices: (f1,f2), (f2,f3), (f1,f23), (f12,f3). Right: one out of two possible facet orientations near a vertex is shown. Orientations and orderings must be compatible along each seam, as explained earlier and in Figure 2.
Refer to caption
Figure 4. Three parallel cross-sections near a vertex of a 2-foam, with the middle cross-section going through the vertex. Small arrows show the order of facets along the seams.

Figure 4 shows a set of three “parallel cross-sections” of a foam near a vertex, with one of the cross-sections going through the vertex. Figure 5 depicts a neighborhood of a vertex taking “tangencies” of the thin facets along the four seams near the vertex into account, analogous to that of a vertex in a branched surface [24, Figure 1.1], see also [27]. (For now, ignore the weights of the facets in Figure 5.)

Refer to caption
Figure 5. A vertex of a (weighted) 2-foam is analogous to that of a branched surface, c.f. [24, Figure 1.1].

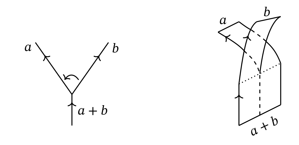
The 1-foams can be thought of as generic cross-sections of 2-foams. A 1-foam is a finite oriented trivalent graph. At each vertex, there are two in edges and one out edge or vice versa. We call these merge and split vertices, correspondingly. They are shown in Figure 6 on the left (ignoring the weights a,b,a+b in that figure). An oriented circle with no vertices on it is allowed as a component of a 1-foam. Loops are a priori allowed, although we will not encounter them in the present section due to working with oriented foams (they do appear in Section 3, upon consideration of unoriented foams).

It is convenient to visualize the thin edges at a merge vertex as sharing a tangent line at a vertex and think of a neighborhood of a merge vertex as a generic cross-section across the seam of the Figure 2 foam. Likewise, a neighborhood of a split vertex of a 1-foam can be visualized as a horizontal cross-section of the rightmost foam in Figure 6. Similar conventions are used in [29, 27].

We define an oriented 2-foam F with boundary as a cobordism between oriented 1-foams U0,U1, where we read the morphism from bottom to top. The boundary of F is split into two disjoint 1-foams,

F(0F)1FU1(U0).

Away from the boundary F has a local structure that of an oriented 2-foam and collar neighborhoods near Ui, i=0,1, where it is homeomorphic to the product Ui×[0,ϵ), ϵ>0. The orientations of the facets of F and local orders of the thin facets along the seams of F restrict to orientations of edges of its boundary 1-foams and local orders of the thin edges at the vertices of the boundary 1-foams using the standard convention for an induced orientation of the boundary of a manifold.

For completeness, we mention that an oriented 0-foam is a finite collection of points with orientations (signs + and ). It is clear how to define oriented 1-foams with boundary.

2.2 Weighted or >0-decorated foams

Consider oriented 1-foams and 2-foams with edges (for 1-foams) and facets (for 2-foams) decorated by real numbers a for various a>0 and refer to a as the thickness, width, or label of the facet. At a vertex of a 1-foam and a seam of a 2-foam, widths must add as shown in Figure 6. Informally, one can “thicken” the foams and think of intervals [0,a) and [0,b) merging into the interval [0,a+b)=[0,a)[a,a+b) at a vertex of a 1-foam and a seam of a 2-foam. This thickening is independent of a facet being thin or thick. The order of thin edges near a vertex (for 1-foams) and order of thin 2-facets near a seam (for 2-foams) matches the order of the intervals in the merge, see Figure 6.

Refer to caption
Figure 6. Left: Neighborhoods of a merge and split vertices of a weighted 1- foam, respectively. Right: neighborhoods of a point near a seam of a weighted 2-foam.

At a vertex of a decorated 2-foam, three thin facets of thickness a1,a2,a3 merge into facets of thickness a1+a2 and a2+a3, which then merge with the remaining thin facet into the facet of thickness a1+a2+a3, see Figure 7, which also shows three parallel cross-sections of this foam.

Refer to caption
Figure 7. Left: labels near a vertex. Small arrows indicate one of the two possible orders of thin edges at each of the four seams near a vertex (orientations of facets are not shown). Right: three parellel cross-sections of this foam, including one which contains the vertex.
Remark 2.1.

If desired, one may allow lines and facets to carry the empty interval [0,0), but this does not seem essential. Such lines and facets can then be deleted from a foam. Namely, remove all 0-weight facets. If a seam had thin facets of weights 0 and a>0 along it, the seam can be hidden and thin and thick facets of thickness a along it merged into a single facet. A seam with thin facets of weights (0,0) is deleted. This operation is suitably extended to vertices with thin facets of thickness (a,b,c) at it, see Figure 7, depending on which of these three numbers are 0.

We call such foams weighted foams or >0-decorated foams or 𝖨𝖤𝖳-foams (see Section 2.3). The definition is straightforward to extend to all dimensions. A weighted 0-foam is a finite set of points with signs {+,} and weights a>0.

Figure 8 shows the link of a vertex of a weighted 2-foam. Weighted 2-foams are analogous to measured branched surfaces and measured laminations [23, 24], but without an embedding into a 3-manifold.

For n=0,1 denote by 𝖢𝗈𝖻>0n the cobordism group of weighted oriented n-foams. An n-foam U defines the trivial element [U]=0𝖢𝗈𝖻>0n if and only if it bounds a weighted oriented (n+1)-foam.

Refer to caption
Figure 8. Left: the link of a vertex of a foam, with one possible choice of compatible orientations of facets inducing orientations of edges of the link. Likewise, one out of two possible compatible orders of thin facets at seams is shown. Right: the dashed line cuts the diagram into two pieces that appear as the two boundaries of a vertex cobordism in Figure 16, second row on the right (one of those two diagrams requires orientation reversal vs the diagram above, due to splitting the boundary into top and bottom components).
Proposition 2.2.

The cobordism group of weighted oriented 0-foams is isomorphic to :

(1) 𝖢𝗈𝖻>00.
Proof.

A weighted oriented 0-foam is given by a finite collection of points decorated by signs and real weights a>0. Merge all +-decorated points into one point (adding the weights) and all -decorated points into a point (adding the weights). The result is at most two points (+,a),(,b), which are cobordant to (+,ab) if a>b, (,ba) if a<b, and to the empty 0-foam if a=b, see Figure 9.

Refer to caption
Figure 9. Merging points (+,a) and (,b) via a cobordism, where a,b>0.

Under the isomorphism in (1) point (+,a), a>0 is sent to a, point (,a) is sent to a, and the disjoint union of signed decorated points is converted to the sum of corresponding numbers.


2.3 Interval exchange transformations and >0-decorated 1-foams

Pick r1, a decomposition 1=i=1rλi, 0<λi<1,λi and a permutation σSr. Interval exchange transformation Tλ,σ:[0,1)[0,1) is a bijection of a semiclosed interval to itself given by writing it as the disjoint union of r intervals

[0,1)=[0,λ1)[λ1,λ1+λ2)[1λr,1)

and permuting the order of intervals according to σ, making the i-th interval σ(i)-th in the order.

The Sah–Arnoux–Fathi invariant of Tλ,σ is an element of given by

(2) 𝖲𝖠𝖥(Tλ,σ):=i=1rλiti=i(j:σ(j)<σ(i)λiλjj<iλiλj),

where ti=j:σ(j)<σ(i)λjj<iλj is the displacement of the i-th interval by σ.

One can write 𝖲𝖠𝖥(Tλ,σ) as a linear combination of elements λiλjλjλi, i,jr and view it as an element of =Λ2(), the quotient of by the abelian subgroup spanned by λλ,λ. Note that we have the decomposition Λ2()S2(), the sum of exterior and symmetric squares, and one is taking the projection onto the first summand. The invariant can also be written as follows:

(3) 𝖲𝖠𝖥(Tλ,σ)= 2i<j:σ(j)<σ(i)λiλj,

where ab denotes the image of ab under the quotient map q:Λ2, since q(abba)=2ab.

The SAF invariant of Tλ,σ can be written as the integral

𝖲𝖠𝖥(Tλ,σ)=[0,1)1(Tλ,σ(x)x)𝑑x,

see [36, page 2]. This invariant vanishes precisely on the commutator subgroup.

Let 𝖠𝗎𝗍𝖨𝖤𝖳 be the group of Interval Exchange Transformations of [0,1), that is, the group of bijections Tλ,σ as above, with the group operation given by the composition of maps. There is a short exact sequence of groups

(4) 1[𝖠𝗎𝗍𝖨𝖤𝖳,𝖠𝗎𝗍𝖨𝖤𝖳]𝖠𝗎𝗍𝖨𝖤𝖳𝖲𝖠𝖥Λ21.
Remark 2.3.

I. Zakharevich [37] interpreted the Sah–Arnoux–Fathi invariant as describing K1 of an appropriate assembler category. Combining this result with constructions of the present paper yields an example of the relation between K1 group of an appropriate category and the group of 1-foam cobordisms, in a rather special case. In a forthcoming paper, we will discuss the relation between the K1 group and the cobordism group of decorated 1-foams in greater generality.

Remark 2.4.

To each interval exchange transformation Tλ,σ as earlier, we assign a weighted 1-foam with boundary Fλ,σ and a closed weighted 1-foam F^λ,σ, as shown in Figure 10. Start with a line of thickness 1 and split it into lines of thickness λ1,,λr from left to right. Then permute the points at the top end of the split via the permutation σSr. After that, merge the resulting points into an interval of width 1, and close up top and bottom endpoints, both of thickness 1, into a closed diagram. Denote by Fλ,σ the resulting weighted oriented 1-foam with boundary and by F^λ,σ its closure. Intersections in Figure 10 are virtual, that is, due to having to depict the foam via a projection to the plane.

Refer to caption
Figure 10. A foam with boundary Fλ,σ associated to 𝖨𝖤𝖳 Tλ,σ and its closure F^λ,σ. Intersections are virtual due to having to depict the foam via a projection to the plane.

Notice that, in the cobordism group 𝖢𝗈𝖻>01, a 1-foam F^λ,σ does not depend on the sequence in which the interval 1 is split into λ1,,λr as long as in the split, λ1,,λr go from left to right. For instance, for r=3, the two sequences of splits 1(λ1,λ2+λ3)(λ1,λ2,λ3) and 1(λ1+λ2,λ3)(λ1,λ2,λ3) give rise to cobordant foams. Likewise, the sequence of merging the intervals back is irrelevant, as long as the order from left to right is λσ1(1),,λσ1(r). The two 1-foams that differ in that way are then cobordant via a composition of 2-foams that create the vertices, see Figure 7. Likewise, a foam Fλ,σ, in the cobordism set of 1-foams with a fixed boundary, does not depend on the order of merges and splits.

Composition of two 𝖨𝖤𝖳s Tλ,σ and Tλ,σ is an 𝖨𝖤𝖳 Tλ′′,σ′′=Tλ,σTλ,σ for suitable (λ′′,σ′′).

Proposition 2.5.

The foams F^λ′′,σ′′ and F^λ,σF^λ,σ are cobordant. Assigning a 1-foam F^λ,σ to an 𝖨𝖤𝖳 Tλ,σ extends to a homomorphism of groups

(5) ϕ:𝖠𝗎𝗍𝖨𝖤𝖳𝖢𝗈𝖻>01.
Proof.

The cobordism is given by first merging F^λ,σF^λ,σ into a connected foam, as schematically shown in the bottom half of Figure 11. The interval of thickness 1, labelled in that Figure, is then repeatedly split, by repeatedly applying elementary cobordisms shown in the second row on the right in Figure 16. These elementary cobordisms convert the 1-foam into F^λ′′,σ′′ via a foam concordance between braid-like foams, as schematically depicted in the top half of Figure 11. The rules for computing the composition Tλ,σTλ,σ are easy to translate to a particular sequence of elementary braid-like cobordisms between these two 1-foams.


Refer to caption
Figure 11. A schematic depiction of the cobordism from F^λ,σF^λ,σ to F^λ′′,σ′′ in the proof of Proposition 2.5.

2.4 Cobordism group of weighted oriented 1-foams

Since the cobordism group is abelian, homomorphism ϕ factors modulo the commutator of the automorphism group, giving a homomorphism

(6) ϕ:H1(𝖠𝗎𝗍𝖨𝖤𝖳,)𝖢𝗈𝖻>01.

Figure 12 shows a cobordism from a commutator of two elements to the identity (or to the empty 1-foam).

Refer to caption
Figure 12. A commutator of 𝖨𝖤𝖳s x,y is null-cobordant.
Theorem 2.6.

The homomorphism ϕ in (6) is an isomorphism of abelian groups, giving isomorphisms

(7) 𝖢𝗈𝖻>01H1(𝖠𝗎𝗍𝖨𝖤𝖳,)K1(𝒞Z).

The second isomorphism is the 𝖲𝖠𝖥 invariant, and an isomorphism H1(𝖠𝗎𝗍𝖨𝖤𝖳,)K1(𝒞Z) is constructed in [37]. The category 𝒞Z is the Zacharevich assembler category [37] for the 𝖨𝖤𝖳s, also see Remark 2.7 below.

Proof.

We establish an isomorphism

(8) ψ:𝖢𝗈𝖻>01

which is compatible with homomorphism ϕ and makes the following diagram commute

𝖢𝗈𝖻>01ψH1(𝖠𝗎𝗍𝖨𝖤𝖳,).12𝖲𝖠𝖥ϕ

Consider a weighted oriented 1-foam U and project it generically to a plane to a diagram D.

The projection has two types of merge points and two types of split points, depending on whether the order of thin edges at a point is clockwise or counterclockwise, see Table 13.

Refer to caption
Figure 13. Contributions of splits, merges and intersections to the invariant ν.

To diagram D, assign an element ν(D) as a sum over local contributions:

  • A split vertex with a clockwise thin edge order and a merge vertex with a counterclockwise thin edge order contribute 0. See the first split and the first merge (from left to right) in the table in Figure 13.

  • For the other orientations, the contributions are shown in the table in Figure 13.

  • A crossing of two intervals of lengths a and b contributes ab, with the orientations of the intervals determining the order of a,b in the product, see the table in Figure 13.

Some examples are shown in Figure 14. Note that ν is additive under the disjoint union of diagrams.

Refer to caption
Figure 14. An invariant ν for each of these two foams is ab. For the foam on the left, the merge contributes ab while the split contributes 0. For the foam on the right, denoted Ua,b, the intersection contributes ab, while both the merge and the split contribute 0. (These two foams are homeomorphic, through a homeomorphism that preserves all decorations.)

We claim that ν(D) depends only on the 1-foam U, that is, different plane projections result in the same invariant ν(D). Two such projections differ by local moves in Figure 15 and versions of these moves given by reversing orientation of one or more of the components or reversing the order of thin edges at a vertex. This follows from the list of Reidemeister moves for embedded rigid graphs in Kauffman [14], although our case is easier, since the graphs are projected onto the plane rather than first embedded in 3 and then projected onto 2.

Refer to caption
Figure 15. Diagram moves 1-5 that do not change the underlying foam.

It is straightforward to check the invariance of ν under all variations of moves in Figure 15. For example, independent of orientations of a and b lines, invariance of ν under move 1 in Figure 15 is the relation ab+ba=0. For move 2 it is aa=0. Move 4 and its version for the opposite orientation determine two entries of the Figure 13 table given the other three (they determine, for instance, entries 1 and 3 of row 2 given values at entries 2, 4, 5). Move 5 corresponds to the bilinearity property of the tensor product.

Suppose that weighted 1-foams U0,U1 are cobordant. A cobordism between them can be realized as a finite sequence of elementary cobordisms shown in Figure 16. We can put a foam in a generic position and then take a sequence of cross-sections with minimal changes of topology between consecutive cross-sections. These changes include (a) going through a vertex, which correspond to the changes in row 2 of Figure 16, (b) going through a local maximum or minimum of a seam, as shown in row 1 of Figure 16, (c) Morse critical point of a facet, as shown in row 3 on the right and the bottom row.

What remains are isotopies. The cobordism on the left of row 3 of the figure has no topology change between its top and bottom boundaries, which are different projections onto the plane of the same decorated 1-foam. This cobordism is included for completeness, and it corresponds to move 4 in Figure 15. Remaining isotopies correspond to the other moves in Figure 15.

Refer to caption
Figure 16. Top left (two pictures): a singular cap cobordism. Its reflection in a horizontal plane gives a singular cup cobordism. Top right (two pictures): a singular saddle cobordism. Second row: the standard cobordisms between these pairs of 1-foams are given by 2-foams with a single vertex. These transformations can also be obtained by splitting the link of a vertex into two halves, see Figure 8. Third row left (two pictures): flipping thin edges at a vertex in a diagram of a 1-foam. Third row right (two pictures): a saddle cobordism relates these two 1-foams. Bottom row: cup and cap cobordisms allow a circle to vanish or appear.

For each elementary cobordism, one can pick diagrams for the two 1-foams at its boundaries so that they differ as shown in Figure 16. A direct computation implies that, in each case, the two diagrams have the same invariant ν.

Consequently, the homomorphism ψ in (8) is well-defined. It is clearly surjective, since each generator ab is the image of some foam. Define a homomorphism

(9) ψ2:𝖢𝗈𝖻>01

by taking ab to the foam in Figure 14 on the right.

To show that ψ2 is well-defined, we need to check the relations

(10) ψ2((a1+a2)b) = ψ2(a1b)+ψ2(a2b),
(11) ψ2(a(b1+b2)) = ψ2(ab1)+ψ2(ab2),

which also imply nψ2(ab)=ψ2(nab)=ψ2(anb), and, since is a divisible group, imply ψ2(anb)=ψ2(abn).

Note a related observation, that the natural quotient map is an isomorphism, so that (9) holds with on the LHS as well.

Refer to caption
Figure 17. The cobordism for the first arrow splits the line a1+a2 into two lines a1 and a2. In the second cobordism, two intersection points (with their neighborhoods indicated by dotted circles) are converted into foams Ua1,b and Ua2,b, with the remaining braid-like foam U2 cobordant to a circle of weight a1+a2+b; see Figure 18.

The 1-foam Ua1+a2,b associated to (a1+a2)b is shown in Figure 17 on the left. It is cobordant to the foam U with two crossings shown in the middle of the same figure. A crossing can be split off from any foam, as shown in Figure 18.

Refer to caption
Figure 18. Converting a foam with a crossing to the union of a foam with one less crossing and foam Ua,b shown in Figure 14 on the right.

Splitting off both crossings from U results in the foam U1 shown on the right of Figure 17. Foam U1 is the union of Ua1,b,Ua2,b and a braid-like foam U2 with no crossings and compatible thin edge orientations at vertices. Foam U2 is cobordant to the circle of weight a1+a2+b and, then, to the empty foam. Hence, foams Ua1+a2,b and Ua1,bUa2,b are cobordant and the relation (10) holds. The relation (11) follows in the same way.

To check that ψ2 factors through a homomorphism

(12) ψ1:𝖢𝗈𝖻>01,

we observe that

ψ2(ab+ba)=0

since the disjoint union Ua,bUb,a of 1-foams associated to ab and ba is null-cobordant.

To see that ψ1 is surjective, pick a 1-foam U. This foam can be represented as the closure of a braid-like 1-foam B. Choose a diagram D of B where all splits and merges have local ν-invariant 0, see Table 13, with the closure D^ describing the foam U.

All crossings can be removed from D via cobordisms shown in Figure 18. There, as a first step, parallel lines of thickness a and b above and below the crossing are merged to create two intervals, each of thickness a+b. They are then brought near each other and merged via a saddle point cobordism. This results in a disconnected 1-foam which is the disjoint union of foam Ua,b and a foam with one fewer crossing versus the original.

The 1-foam D^ is cobordant to the union D1^D2. Here D1^ is the closure of a braid-like crossingless diagram D1 where all merges and splits have local ν-invariant 0, and D2 is the union of foams Uai,bi, ai,bi>0 over all crossings (ai,bi) of D. The diagram D1 is cobordant to a circle of some thickness and, hence, null-cobordant. This shows the surjectivity of ψ1.

Composition ψψ1 is clearly identity. That and surjectivity of ψ1 implies that ψ1ψ is the identity map.


Remark 2.7.

On the category side, we can follow Zakharevich [38, 37] and consider the category 𝒞Z with objects – half-open interval [a,b). Morphisms are metric-preserving and order-preserving inclusions of intervals, and the assembler structure is given by pairs of morphisms [a1,b1),[a2,b2)ψ1,ψ2[a,b) that cover the interval without overlaps. More generally, given a Zacharevich assembler category 𝒞, one can consider n-dimensional foams where facets are decorated by objects of 𝒞, (n1)-dimensional seams by coverings of 𝒞, and so on. The cobordism group of 𝒞-decorated n-foams should then be related to K-theory groups Kn(𝒞) as defined in [38]. Cobordism groups of foams decorated by objects of a category are introduced in [9].

Remark 2.8.

It is possible to loosely compare the group 𝖠𝗎𝗍𝖨𝖤𝖳 of 𝖨𝖤𝖳 transformations of the interval to the braid group and weighted 1-foams to links (note, though, that 1-foams are not embedded anywhere, while links are embedded in 3). The closure of a braid is an oriented link and the closure of an 𝖨𝖤𝖳 can be described by an oriented weighted 1-foam. The analogue of the Alexander theorem is simple: any oriented weighted 1-foam is the closure of some element of 𝖠𝗎𝗍𝖨𝖤𝖳, and the analogue of the Markov theorem is straightforward to write down as well since 1-foams are not embedded in 3 (Markov’s theorem is known in the harder case of graphs embedded in 3, see [12, 13, 7]). The analogue of the 𝖲𝖠𝖥 invariant for oriented links is, perhaps, the sum of the linking numbers 𝗅𝗄(Li,Lj), i<j, over all pairs of components of a link L. This analogy is inspired by Figure 13, where (a,b) crossing adds ab to the 𝖲𝖠𝖥 invariant, similar to the formula for the linking number. The 𝖲𝖠𝖥 invariant is preserved by the cobordisms of the oriented weighted 1-foams, as Theorem 2.6 shows. The linking number is invariant under some cobordisms in 3×[0,1] between the links in 3. More precisely, pick an ordered countable set S and equip a link L with a map ψ:𝖼𝗈𝗆𝗉(L)S from its set 𝖼𝗈𝗆𝗉(L) of connected components to S. Consider the cobordisms M between such links L,L equipped with a map 𝖼𝗈𝗆𝗉(M)S which is compatible with the maps ψ,ψ for its boundary links L,L. The S-linking number

𝗅𝗄S(L):=i,j:ψ(i)<ψ(j)𝗅𝗄(Li,Lj)

is invariant under such cobordisms.

Remark 2.9.

In the definition of weighted foams, the abelian semigroup (>0,+) can be replaced by an arbitrary commutative semigroup (H,+). One can then form the abelian group 𝖢𝗈𝖻H1 of H-weighted oriented 1-foams modulo cobordisms. The latter are H-weighted oriented 2-foams with boundary. The above arguments extend to an isomorphism

(13) HH𝖢𝗈𝖻H1,

taking ab to [Ua,b]. Here HH is the abelian group generated by symbols ab, a,bH, with defining relations

ab+ba = 0,
(a1+a2)b = a1b+a2b.

In particular, the cobordism group of -decorated oriented 1-foams is isomorphic to that of >0-decorated foams, since the natural map >0>0 induced by the inclusion >0 is an isomorphism.

There are several related ways to thicken an (oriented) >0-weighted 1-foam to a 2-dimensional structure and a cobordism between such foams to a three-dimensional structure.

2.4.1. Lower limit topology

One can thicken an >0-decorated 1-foam to a 2-dimensional structure by multiplying a 1-facet I carrying label a by [0,a) and then gluing these products at vertices, see Figures 19, 20.

Refer to caption
Figure 19. A split and its thickening. An 𝖨𝖤𝖳 1-foam U can be replaced by a “surface” T(U), which is locally the product (0,1)×[0,1), where denotes the lower limit topology, also see Figure 20.
Refer to caption
Figure 20. A split with the opposite thin edge orientation vs. the one in Figure 19 and its thickening, shown sideways.

We equip intervals [0,a) with the lower limit topology , with a basis of open sets given by [a1,b1), with 0a1<b1a, see Munkres [22, Section 13]. With this topology, there are homeomorphisms [0,a)[0,b)[0,a+b) given by placing [0,b) immediately to the right of [0,a).

In this way, a 1-foam U as above is thickened to a topological space T(U) which is locally homeomorphic to the product [0,1)×(0,1). A cobordism between two such 1-foams is thickened to a topological space locally homeomorphic to [0,1)×(0,1)2.

This thickening of 1-foams and 2-foams is related to the Zakharevich assembler category, see Remark 2.7 above and the discussion in the introduction.

The topological space T(U) associated to a 1-foam U carries a foliation where connected components of the leaves are locally x×(0,1) for 0x<a. If all leaves are compact (and then necessarily homeomorphic to 𝕊1), the foam U is null-cobordant. The opposite implication fails, since UU! is null-cobordant for any U, where U! is the mirror image of U.

Refer to caption
Figure 21. A weighted oriented 1-foam can be thickened to a weighted oriented train track on an oriented surface with boundary.

2.4.2. Train tracks on surfaces

A weighted oriented 1-foam can be thickened to an oriented train track [25] on a surface with boundary, see Figure 21. Transformations of unoriented train tracks that do not change the associated measured foliation or measured lamination [25, Sections 2.1, 2.3] can be interpreted as the cobordisms of train tracks in S×[0,1], where S is the surface that contains the train track.

Remark 2.10.

Interval exchange transformations can be thickened to very flat surfaces, or translation surfaces [39, 40], i.e., surfaces with a flat metric and singular points where total angles at these points are multiples of 2π. Oriented weighted 1-foams, equipped with additional data, can likewise be thickened to very flat surfaces (we omit the details).

3 Planar unoriented weighted foams and antisymmetric 2-brackets

Consider unoriented weighted 1-foams U embedded in the plane 2, and denote an embedded foam also by U. Such a foam U is analogous to a weighted unoriented train track on a surface [25], except that no conditions are imposed on the Euler characteristic of components of the complement of U in 2 (compare with [25, Section 1.1]). An embedded 1-foam can be thickened to an open subset of 2 with an unoriented bidirectional flow on it, see Figure 22.

Refer to caption
Figure 22. Thickening an embedded (a,b) vertex to a flow.

By a cobordism between two unoriented embedded 1-foams U0,U1, we mean an unoriented embedded 2-foam V2×[0,1] so that V(2×{i})=Ui, i=0,1. Note that for any 1-foam U, the disjoint union UU! of U with its mirror image is null-cobordant. See Figure 23 for an example of the mirror image of an unoriented embedded foam.

Refer to caption
Figure 23. The tripod 1-foam T(a,b) and its mirror image T(a,b)!T(b,a).

Denote by 𝖢𝗈𝖻>01,𝗎𝗉 the set of cobordism classes of unoriented embedded 1-foams (“up” in the superscript stands for unoriented planar). The disjoint union and mirror image operations turn this set into an abelian group. Denote by [U] the image of a 1-foam U in that group.

In general, there is no obvious cobordism between U and U! (and we will see that [U][U!], in general).

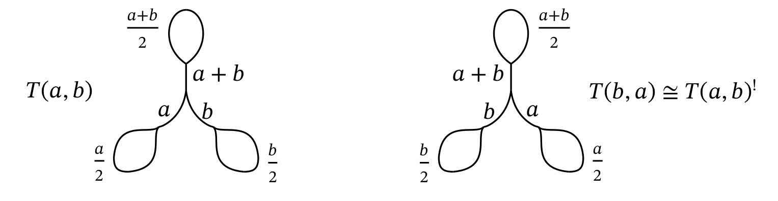
For a,b>0 denote by T(a,b) the 1-foam shown in Figure 23, which we also call a tripod foam. Note that T(a,b)!:=T(b,a).

Proposition 3.1.

The group 𝖢𝗈𝖻>01,𝗎𝗉 is generated by symbols [T(a,b)] of tripod 1-foams over all a,b>0.

Refer to caption
Figure 24. A cobordism between an interval and two looped half-intervals (lollipops).
Refer to caption
Figure 25. The cobordism from Figure 24 in more detail.
Proof.

The cobordism shown in Figures 2425 allows to convert an interval into two looped half-intervals. The loop at the end of an a-interval has thickness a/2. This cobordism can be applied at each edge of U, as shown in Figure 26 on the left, to cut U into a union of tripod foams and circles. Each circle can further be cut into a barbell foam (the latter is shown in Figure 27, together with a cobordism from it to the empty foam, in the top right corner of the figure). If a foam U has vertices v1,,vn with thin edges at the vertex vi of thickness (ai,bi), going counterclockwise, then [U]=i=1n[T(ai,bi)].


Refer to caption
Figure 26. Left: splitting off a vertex of a planar 1-foam into the tripod T(a,b), see also Figure 23 on the left. Right: existence of a cobordism between these 1-foams combined with the splittings on the left corresponds to the relation [a,b]+[a+b,c]=[b,c]+[a,b+c] in Z2(>0), see proof of Proposition 3.3 below.
Refer to caption
Figure 27. Top left: the two foams there are cobordant, which corresponds to the relation [a,b]+[b,a]=0 (see proof of Proposition 3.3 below). Top right: barbell 1-foam is null-cobordant (encoding the last cobordism in the bottom row). Bottom row: foam T(a,a) is cobordant to a barbell foam and null-cobordant (relation [a,a]=0).
Remark 3.2.

Figure 28 shows that T(a,b) is cobordant to T(a,ba) if a<b. Passing to mirror images shows that T(a,b) is cobordant to T(ab,b) if a>b. These cobordisms can be iterated to a foam cobordism version of the Euclidean division algorithm. In particular, iterating these operations we see that T(a,b) is null-cobordant if ba (that is, if a and b are proportional over ). Cobordism between T(a,a) and the empty foam is shown in the second row in Figure 27.

Refer to caption
Figure 28. A cobordism between T(a,b) and T(a,ba), for a<b.

Consider 1-foams in the first two rows of Figure 16, ignoring the orientations of edges and orders of thin edges at vertices and instead viewing the 1-foams as planar (embedded in 2). These 1-foams are cobordant in pairs, via 2-foam cobordisms embedded in 2×[0,1]. At the same time, breaking up these 1-foams along edges results in disjoint unions of the foam T(x,y) for various x,y>0. Passing to the cobordism group and replacing >0 by a commutative semigroup H motivates the following definition.

Given a commutative semigroup (H,+), denote by Z2(H) the abelian group with generators [a,b], a,bH, and defining relations

(14) [a,a] = 0,aH,
(15) [a,b]+[b,a] = 0,a,bH,
(16) [a,b]+[a+b,c] = [a,b+c]+[b,c],a,b,cH.

Note that relation (14) does not imply the skew-commutativity relation (15) since the bracket [a,b] is not bilinear. Equations (14) and (15) together are the strong version of the skew-commutativity property in the absence of bilinearity. Equation (16) is reminiscent of the 2-cocycle relation – the difference between the two sides can be interpreted as the signed boundary of a 3-simplex with oriented edges labeled a,b,c,a+b,b+c,a+b+c. This is explained in Figure 29. The analogue of symbol [x,y] is an oriented triangle with oriented sides labeled x,y,x+y. The oriented boundary of a 3-simplex with sides labeled by a,b,c and their sums is the difference between the right-hand side and left-hand side of equation (16). Also see [11, Section 2.4].

We call Z2(H) the antisymmetric 2-bracket or antisymmetric 2-cocycle of H.

Refer to caption
Figure 29. We have (Δ3)=𝖿𝗋𝗈𝗇𝗍𝖻𝖺𝖼𝗄=[a,b+c]+[b,c]([a,b]+[a+b,c]). Equation (Δ3)=0 is then the relation (16).

A homomorphism f:H1H2 of commutative semigroups induces a homomorphism Z2(H1)Z2(H2).

Proposition 3.3.

The cobordism group 𝖢𝗈𝖻>01,𝗎𝗉 of planar unoriented weighted 1-foams is isomorphic to Z2(>0):

(17) 𝖢𝗈𝖻>01,𝗎𝗉Z2(>0),

taking [T(a,b)] to [a,b] for all a,b>0.

Proof.

Consider the free abelian group Z on generators [a,b], over all a,b>0. Proposition 3.1 says that there is a surjective homomorphism τ:Z𝖢𝗈𝖻>01,𝗎𝗉 taking [a,b] to [T(a,b)]. Furthermore, relations (14)-(16) hold for the images of [a,b] under τ. Indeed, T(a,a) is null-cobordant, giving the relation τ([a,a])=0. The disjoint union T(a,b)T(b,a) is null-cobordant, implying

(18) τ([a,b]+[b,a])=0.

It is convenient to pair up a- and b-lollipop ends of T(a,b)T(b,a) and pass to the 1-foam which is a split of (a+b)-strand into a- and b-strands, followed by the merge, see Figure 27 top left. There is a natural cobordism from the split-merge to the (a+b)-strand, which is another way to see the relation (18). Ignoring orientations and edge orders, this cobordism is depicted in the top left corner of Figure 16. Likewise, that

(19) τ([a,b])+τ([a+b,c])=τ([a,b+c])+τ([b,c])

follows from the existence of a cobordism between the two ways to merge the parallel a,b,c-strands into (a+b+c)-strand, see Figure 26 on the right. For example, there is the one-vertex cobordism between these two 1-foams.

Consequently, the homomorphism τ descends to a surjective homomorphism, also denoted

(20) τ:Z2(>0)𝖢𝗈𝖻>01,𝗎𝗉.

Vice versa, breaking a planar weighted 1-foam into tripods gives a map τ from planar foams into -linear combinations of symbols [a,b], and we would like to turn τ into the inverse of τ. A cobordism between two 1-foams can be represented as a composition of elementary cobordisms, including vertex cobordisms, singular saddles, cups and caps, and the usual saddle, cup and cap cobordisms between 1-manifolds. These cobordisms do not change the linear combination of symbols [a,b] associated to a 1-foam, when viewed as an element of Z2(>0).

Note that the relation [a,a]=0 in (14) does not come from any elementary cobordism. The tripod T(a,a) is null-cobordant, however, as shown in Figure 27. This discrepancy has the following explanation. When breaking a tripod T(a,b) along every edge to construct the map τ, one adds three more terms to [a,b] due to the three lollipop vertices of the tripod, so that the composition of τ and τ is

[a,b]τ[T(a,b)]τ[a,b]+[a/2,a/2]+[b/2,b/2]+[(a+b)/2,(a+b)/2].

In particular, the composition ττ differs from the identity due to the presence of three terms [x,x] for x{a/2,b/2,(a+b)/2}. Setting these terms to 0 in Z2(>0) makes the composition ττ=𝗂𝖽, where now τ is a well-defined map

(21) τ:𝖢𝗈𝖻>01,𝗎𝗉Z2(>0),[T(a,b)]τ[a,b].

In the other direction, it is clear that ττ=𝗂𝖽. Consequently, the homomorphism τ in (20) is an isomorphism.


Extending from >0 to and adding bilinearity relations on the symbols [a,b], so that, in addition [a1+a2,b]=[a1,b]+[a2,b], gives a surjective homomorphism

(22) θ:Z2(>0),

and, consequently, a surjective homomorphism

(23) θ:𝖢𝗈𝖻>01,𝗎𝗉

taking [T(a,b)] to ab (compare with the 𝖲𝖠𝖥 invariant, see Section 2). This allows to show that some unoriented planar 1-foams are not null-cobordant.

Corollary 3.4.

Planar unoriented foam T(a,b) for a,b>0 is not null-cobordant if ba.

That is, if the unoriented planar foam T(a,b) for a,b>0 is null-cobordant, then ba.

It turns out that the bracket [a,b] is almost bilinear, as explained by the following result.

Proposition 3.5.

The kernels of θ and θ consist of elements of order at most two. For any a,b1,b2>0 the following relation holds in Z2(>0):

(24) 2([a,b1+b2][a,b1][a,b2])= 0.
Proof.

Consider the following three equations:

(25) [a,b1+b2]+[b1,b2] = [a+b1,b2]+[a,b1],
(26) [b1,b2+a]+[b2,a] = [b1+b2,a]+[b1,b2],
(27) [b1,a+b2]+[a,b2] = [a+b1,b2]+[b1,a].

Equation (25) is the 2-cocycle relation, for a,b1,b2. Equation (26) is given by cyclicly permuting the terms of the previous equation, ab1b2a. Equation (27) is given by transposing a and b1 in (25). Writing down the linear combination (25) + (26) (27) and using that the bracket is antisymmetric gives relation (24).

This argument is borrowed from [5], which shows bilinearity of the difference [a,b][b,a] assuming only the 2-cocycle equation (16) for all a,bH, where H is an abelian group. When the 2-cocycle is, additionally, antisymmetric, via equation (15), the difference [a,b][b,a]=2[a,b].


The proposition tells us that the bracket [a,b] is “almost” bilinear, with the difference [a,b1+b2][a,b1][a,b2] either 0 or an element of order 2.

Corollary 3.6.

The foam UU, where

U=T(a,b1+b2)T(b1,a)T(b2,a),

is null-cobordant for any a,b1,b2>0.

The foam U is shown in Figure 30.

Refer to caption
Figure 30. The 1-foam U=T(a,b1+b2)T(b1,a)T(b2,a) in Corollary 3.6.

We do not know whether the scalar 2 can be dropped from equation (24), so that [a,b] is bilinear in a,b. That would be equivalent to foams U in Corollary 3.6 being null-cobordant for all a,b1,b2>0.

To further study abelian groups in Proposition 3.3, it is natural to extend the possible weights of the foam facets from positive to all real numbers. First, we discuss the group Z2(H) for general commutative semigroups H, having (,+) in mind. Note that Proposition 3.5 holds for any commutative semigroup H in place of >0, so that there is an exact sequence

0𝗄𝖾𝗋θZ2(H)θHH0,

with 2x=0 for x𝗄𝖾𝗋θ. Here HH is the abelian group which is the quotient of the abelian group closure of HH by the relations ab+ba=0 and aa=0, by analogy with (14), (15). Symbol is used instead of since the relation aa=0 is usually not imposed in the definition of the exterior square (but follows for 2-divisible semigroups).

If 0H, then (16) with the particular triple (a,b,c)=(a,0,b) implies that [a,0]=[0,b] for all a,bH. Specializing to b=0 gives

(28) [a,0]=[0,a]= 0,aH.
Proposition 3.7.

Assume that 0H. Then

  1. (a)

    [a,0]=0 for all aH,

  2. (b)

    If aH (i.e., a is invertible in H), then

    (29) 2[a,a] = 0,
    (30) [b,a] = [a,ba]+[a,a] for all bH,
    (31) [2a,2a] = 0,
  3. (c)

    If a,bH, then

    (32) [a,b]=[a,b]+[a,a]+[b,b][a+b,ab].
Proof.

See (28) for a. Notice that relation (16) can be visualized as the “associativity” property for merging a,b,c into a+b+c in two possible ways, where a vertex merging x,y contributes [x,y] to the sum, see Figure 31.

Refer to caption
Figure 31. Left: cobordance of these 1-foams matches the 2-cocycle equation (16). Right: Two trees merging (a,a,a,a) to 0.

Iterating this associativity relation gives us a relation between any two tree diagrams for merging (a1,,an) into a1++an. Now apply the relation to the two trees shown in Figure 31 on the right merging (a,a,a,a) to 0 and use that [a,a]+[a,a]=0 and [b,0]=0 for any b to conclude that 2[a,a]=0, resulting in relation (29).

For the relation (30), apply (16) to (ba,a,a) to get [ba,a]+[b,a]=[ba,0]+[a,a]. For the relation (31), two of the ways to merge (a,a,a,a) to 0 give

(33) [a,a]+[a,a]+[2a,2a]=[a,a]+[a,0]+[a,a],

resulting in [2a,2a]=2[a,a]=0.

For the relation (32), apply (16) to (a,a,b) and (ab,a,b).


Notice that, modulo terms [x,x], relations (30) and (32) are [b,a][a,ba] and [a,b][a,b].

Remark 3.8.

We give an example for which [a,a]0. Let H=(/4,+)={0,1,2,3}. It is tedious but straightforward to check that the map

(34) ψ([a,b])={0ifa=0orb=0ora=b,1otherwise

extends to a homomorphism ψ:Z2(/4)/2. Under this homomorphism, the image of [1,1]=[1,3] is nontrivial. Via the surjective homomorphism /4 we see that [1,1] in nontrivial in Z2() as well. Consequently, [a,a] is not always 0 in Z2(H) for a,aH.

Elements [a,a], over all a,aH, generate a 2-torsion subgroup in Z2(H), which we can denote Z2(H). This subgroup is trivial if H is 2-divisible, in view of the relation (31). In particular, it is trivial for H=(,+).

We denote by >0 the semigroup (>0,+) and by the group (,+). Semigroup (>0,+) is not a monoid, that is, 0>0. The inclusion >0 induces a homomorphism

(35) ρ:Z2(>0)Z2().

To differentiate between the elements of the two groups, denote by [a,b] the symbol of the pair a,b viewed as an element of Z2(). The map ρ is given by ρ([a,b])=[a,b] for a,b>0.

Corollary 3.9.

In Z2() and for a,b>0, the following relations hold:

(36) [a,b]={[b,ab]ifa>b,[ba,a]ifa<b,0ifa=b,
(37) [a,b]=[b,a],[a,b]=[a,b].
Proof.

These relations are obtained by dropping off the terms [x,x] from the relations in Proposition 3.7. Terms [x,x]=0 since is 2-divisible.


Corollary 3.9 implies that ρ is surjective, since the symbol [a,b] with at least one of a,b negative can be written as ±ρ([a,b]) for suitable a,b>0, or [a,b]=0.

Proposition 3.10.

The homomorphism

ρ:Z2(>0)Z2()

induced by the inclusion >0 is an isomorphism.

Proof.

Corollary 3.9 relations can be used to define a map from symbols [a,b] with a,b to signed symbols [a,b] with positive a,b. Consider the map δ defined on symbols as follows and assuming a,b>0:

(38) δ([a,b]) = δ([a,b])=[a,b],
(39) δ([a,b]) = [b,ab],ifa>b,
(40) δ([a,b]) = [ba,a],ifa<b,
(41) δ([a,b]) = δ([b,a]),
(42) δ([a,a]) = 0.

We claim that δ extends to a well-defined homomorphism δ:Z2()Z2(>0). This map respects the relations (14) and (15). A tedious case-by-case verification shows that it also respects the relation (16). For example, consider relation (16) for the triple (a,b,c) where c>b>a>0. To check that

δ([a,b])+δ([ab,c])=δ([a,cb])+δ([b,c]),

we compute the two sides:

𝖫𝖧𝖲 = [ba,a]+[a+cb,ba],
𝖱𝖧𝖲 = [a,cb]+[cb,b],

and write

[a,cb]+[cb,b] = ([cb,b]+[a,ba])+[a,bc][a,ba]
= ([cb,a]+[a+cb,ba])+[a,bc][a,ba]
= [a+cb,ba]+[ba,a]=𝖫𝖧𝖲.

The case a>b>c follows by symmetry, and other cases to consider are a>b,c>b; b>a+c; a+c>b,b>a,b>c. All of them together take care of the relation (16) when only the middle number is negative. The case (a,b,c), i.e., all three numbers are negative, is trivial, but there are many other cases. They follow via straightforward computations which are omitted.


The group Z2(H) depends only on the isomorphism class of abelian semigroup H. Thinking of an abelian group and using the axiom of choice, one can write J, where the index set J is uncountable. Consequently, Z2(>0)Z2()Z2(J), giving a more symmetric presentation of Z2(>0) since we can now work with positive and non-positive generators satisfying the relations (14) - (16). This does not give an explicit description of Z2(>0), just a description with more internal symmetries, but in our study of this group we stop here. A natural question would be to understand the kernel of the surjective homomorphism θ:Z2(>0)Λ2() sending [a,b] to ab. From Proposition 3.5 we know that 2x=0 for any element x𝗄𝖾𝗋(θ).

Remark 3.11.

Note that Z2(>0)Z2()=0. This can be derived from all tripods T(a,b) for a,b>0 being null-homotopic. A related observation is that thickening T(a,b) with rational a,b results in a foliated planar surface with all leaves closed and diffeomorphic to 𝕊1.

Proposition 3.10 shows that passing from >0 to does not change the group Z2. Let us consider unoriented planar 1-foams where edges are labeled by real numbers rather than just positive numbers (planar -weighted 1-foams). A cobordism between two such foams is given by an unoriented -decorated 2-foam in 2×[0,1]. An -weighted 2-foam also has vertices with local structure as in Figures 7 and 5, but now a,b,c are arbitrary real numbers, possibly 0. Denote by 𝖢𝗈𝖻1,𝗎𝗉 the cobordism group of -weighted planar unoriented 1-foams. There is a natural homomorphism

(43) ι:𝖢𝗈𝖻>01,𝗎𝗉𝖢𝗈𝖻1,𝗎𝗉

given by viewing >0-weighted 1- and 2-foams as -weighted foams. Likewise, there is a homomorphism

(44) τ:Z2()𝖢𝗈𝖻1,𝗎𝗉

defined analogously to the homomorphism (20). The map τ takes the symbol [a,b] to the concordance class of the tripod T(a,b), where now the weights may be non-positive.

Theorem 3.12.

Maps ι and τ are isomorphism of abelian groups.

Proof.

That τ is an isomorphism can be shown in the same way as for τ, see the proof of Proposition 3.3. Next, observe that formulas in Corollary 3.9 convert symbols [x,y] when one of both x,y are negative into symbols with positive entries. We now define the foam counterpart of these formulas. Start with an -weighted 1-foam U and convert it to an 0-weighted 1-foam U as follows. First, convert each line a into a line of weight |a|, for a, see Figure 32.

Refer to caption
Figure 32. Going from an -weighted 1-foam to an 0-weighted 1-foam (continues in Figures 3334).
Refer to caption
Figure 33. Converting a vertex with one negative weight into a positive vertex; compare with (36), top equality. If a=b, the line ab=0 is removed, see also Figure 35.

At the vertices of U, only the edges of negative weight are bent to the opposite side to retain the balance of weights at a vertex. If an edge has positive weight, it is not bent. Figure 33 shows how a single negative edge is bent at a vertex. Figure 34 shows modifications at a vertex if two out of three edges have negative weights. In Figure 35 top row, we see that an (a,a) vertex gets smoothed out into part of a segment, and in Figure 35 bottom row, that no bending is necessary at a (a,b) vertex, but just weight reversal at all three edges of the vertex.

Refer to caption
Figure 34. Vertex replacement when two out of three edges are negative. If a=b, the line ba=0 is erased.
Refer to caption
Figure 35. Top row: converting (a,a)-vertex to an undecorated a-segment (analogous to the relation [a,a]=0) by flipping (bending) the a edge and removing the 0 edge. Bottom row: at a (a,b)-vertex, all edges are negative so one bends all three edges or one simply reverses all weights (corresponding to the relation [a,b]=[a,b], see Corollary 3.9).

The foam U may have edges (and circles) of weight 0. A circle of any weight is null-cobordant even if there is a 1-foam inside the disk that it bounds, by converting the circle to a barbell. Given a 0-edge e, applying Figure 26 (left) transformation at the two endpoints of e produces tripod foams T(a1,0) and T(a2,0) (or their reflections) for some a1,a2. These foams are null-cobordant (see Figure 36), and cobordant to barbell foams with weights a1,a2 (the latter are null-cobordant as well, see Figure 27). Inserting these barbell foams back into the original 1-foam and composing these cobordisms shows that an 0-weighted 1-foam V with a 0-weight edge e is cobordant to the same foam with edge e deleted. Thus, all edges and circles of weight 0 (components of weight 0) can be deleted from an 0-weighted foam V, resulting in a cobordant >0-foam. In particular, this is shown as the second step in the top row of Figure 35.

Refer to caption
Figure 36. Top: T(a,0) tripod. Bottom row: a cobordism from T(a,0)T(a,0) to T(a,0). The first move is the cobordism in Figure 24, the second is (a,0,0)-vertex, the third move cuts a 0 edge creating lollipops. The last move vanishes T(0,0), since it is null-cobordant. Gluing T(a,0)×[0,1] to this cobordism by capping off one T(a,0) on each side shows that T(a,0) is null-cobordant.

Denote by U the foam U with weight 0 components removed. The map UU from planar -weighted 1-foams to planar >0-weighted 1-foams needs to be extended to cobordisms between 1-foams, that is, to 2-foams with boundary.

Suppose that F is an -weighted 2-foam with boundary U, unoriented and embedded in 2×[0,1), with UFF(2×{0}). We convert all facets of F with negative labels a to positive labels a>0.

At each seam of F, two facets merge into one. If one or two of these facets had negative weights, we make these facets approach the seams from the opposite side, by taking the rules in Figures 333435 and multiplying them by the interval to get the corresponding rules for 2-foams. These modifications are depicted in Figure 37.

Refer to caption
Figure 37. Top row: Converting a seam with a, b thin facets, with ab>0, into a seam with b, ab thin facets. Bottom row: Converting a seam when b>a.

Next, one produces modification rules at vertices of F, where facets have weights a,b,c,a+b,b+c,a+b+c, for some a,b,c. Taking the link of a vertex results in a 2-foam L(a,b,c) on the 2-sphere (see Figure 8 on the left, with orientations and thin edge orders at nodes dropped). Converting it to L(a,b,c), one needs to check that it is null-cobordant through a >0-weighted foam and pick a particular cobordism to replace each (a,b,c)-vertex of an -weighted 2-foam. This is done on a case-by-case basis, and the rest of the proof closely resembles that of Proposition 3.10 towards the end. Here we provide the cobordisms in two out of the many cases here. Instead of the cobordism from L(a,b,c) to the empty foam we depict cobordisms between two possible ways to merge a,b,c edges into the a+b+c edge, see Figure 26 on the right.

We consider the case when the middle number is negative and write it as b. Since intermediate edges are ab and cb, there are four cases to consider:

  1. (1)

    ab,cb0,

  2. (2)

    abc0 (case cba0 is given by reflection),

  3. (3)

    ba,bc,a+cb, a,c0,

  4. (4)

    ba+c, a,c0.

In each of the cases, one constructs an >0-weighted cobordism between the corresponding >0-weighted one foams. Schematically, Figure 38 shows what needs to be done in case (1) above, and similar for the other cases.

Refer to caption
Figure 38. Vertical arrows go from -weighted foams U1,U2 to 0-weighted foams U1,U2. Bottom horizontal arrow indicates that we need to produce an 0-weighted cobordism between foams U1,U2. Such a cobordism is shown in Figure 39.
Refer to caption
Figure 39. Replacing a vertex of an -weighted 2-foam for weights (a,b,c) with a,cb0 by an 0-weighted 2-foam.
Refer to caption
Figure 40. Vertex replacement for weights (a,b,c) with ba,bc0 and ba+c.

Cobordisms between the diagrams that replace the corresponding vertices are shown for cases (1) and (3) in Figures 39 and 40 via sequences of their cross-sections.

Further cases include L(a,b,c), with the first number negative (that of L(a,b,c) follows by reflection symmetry). Another case is when two numbers out of three are negative. The case L(a,b,c) is easy, since no modifications are done at any of the four vertices of the boundary foam. (It is likely that additional symmetries of L(a,b,c) can be used to reduce the number of cases but we have not checked that.)

This procedure converts -weighted 2-foam F with boundary UF to an 0-weighted embedded foam, denoted F, with boundary U.

Next, 0-facets of F can be removed as well, by analogy and extending our deletion of 0-facets of the foam U. The resulting 2-foam F2×[0,1) is >0-weighted, with the boundary U2×{0}. Consequently, our procedure for converting -weighted 1- and 2-foams into >0-weighted 1- and 2-foams gives a homomorphism

ι:𝖢𝗈𝖻1,𝗎𝗉𝖢𝗈𝖻>01,𝗎𝗉.

It is clear that ιι=𝗂𝖽, since ι on foams with all facets positive is the identity map.

To show that ιι=𝗂𝖽 it suffices to check that ι is surjective. For that, it is enough to show that [T(a,b)] is in the image of ι for all a,b. Consider the tripod T(a,b) for ab0. There are two ways to merge strands a,b,b into an ab+b=a strand, with the one-vertex 2-foam cobordism connecting the two ways to merge. This translates into a cobordism between -weighted 1-foams:

T(a,b)T(ab,b)T(a,0)T(b,b).

Foam T(ab,b) has positive weights. Foam T(a,0) is null-cobordant via 0-weighted foams, see Figure 36. Foam T(b,b) is null-cobordant, since [b,b]=0 and [T(b,b)] is the image of [b,b] under the homomorphism τ in (44). Alternatively, computation in (33) with b/2 in place of a can be converted into a description of a cobordism from T(b,b) to the empty 1-foam. Consequently, T(a,b) is cobordant via an -weighted 2-foam to an >0-weighted 1-foam T(b,ab). Reflecting in the plane shows that T(b,a) is cobordant to T(ab,b). We leave the remaining cases: T(a,b) with b>a>0 and T(a,b), a,b>0 to the reader.

Consequently, ι and ι are mutually-inverse isomorphisms. This completes the proof of Theorem 3.12.


Our constructions and results can be summarized into the following statement.

Theorem 3.13.

There is a commutative diagram of isomorphisms of abelian groups

(45) Z2(>0)τ𝖢𝗈𝖻>01,𝗎𝗉ριZ2()τ𝖢𝗈𝖻1,𝗎𝗉

The top arrow is given by (20), the bottom arrow τ is the map (44). The left arrow is the map ρ in Proposition 3.10, the right arrow is given by (43).

In particular, the cobordism groups of -weighted and >0-weighted planar unoriented 1-foams are isomorphic, and they are isomorphic to the corresponding abelian groups generated by the symbols [a,b] over either all positive real a,b>0 or, alternatively, all real a,b, subject to relations (14) - (16) in each of the two cases.

Remark 3.14.

In the isomorphisms τ or τ in Theorem 3.13, commutative semigroup >0 or commutative group can be replaced by any uniquely 2-divisible commutative semigroup H or by a semimodule over >0[1/2]. Unique 2-divisibility is needed to consistently split a planar H-weighted 1-foam into a union of tripods, since lollipop loops carry weights a/2,b/2,(a+b)/2. These divisions by two must exist and be consistent. One then gets an isomorphism of abelian groups

(46) 𝖢𝗈𝖻H1,𝗎𝗉Z2(H).

The group Z2(H) can be thought of as a universal antisymmetric 2-cocycle on H. Antisymmetry condition forces the bracket to be almost bilinear, see Proposition 3.5.

Symmetric 2-cocycles are not almost bilinear, in this sense, and allow for a richer structure. Interestingly, they naturally appear in the theory of formal groups [32, Section 6], with relations (16) and [a,b]=[b,a] interpreted as the infinitesimal version of the formal group law axioms. Formal groups are closely related to cobordism groups of manifolds (to the complex cobordism generalized cohomology theory), see [1, 21, 26, 31, 10] and the references therein.

It seems possible to interpret symmetric 2-cocycles in the framework of foam cobordisms. A step towards such interpretation is to consider unoriented cobordisms (2-foams with boundary) between 1-foams, not embedded anywhere, where 2-foams have oriented seams. One imposes the compatibility condition on seam orientations at vertices of the 2-foam to match the 2-cocycle relation. Absence of an embedding and not keeping track of the order of thin facets at a seam leads to the symmetric relation [a,b]=[b,a]. The antisymmetry property vanishes, since in the cobordisms in the top row of Figure 16 the seams are now oriented and the two vertices of the boundary 1-foam for each relation have opposite types, leading us to denote the two brackets by [a,b]+ and [a,b] and giving the relation [a,b]++[b,a]=0, which simply allows to express one bracket via the other. The bracket [a,b]+, then, satisfies the symmetry property and the 2-cocycle condition.

Remark 3.15.

For an interesting cobordism group, we considered planar unoriented weighted 1-foams in this section. The planar oriented 1-foams do not allow loops and creation of tripod foams T(a,b). The cobordism group of suitably defined planar oriented 1-foams is trivial.

Constructions and results of this section demonstrate the possibility of having interesting cobordism groups of planar objects other than embedded 1-manifolds, with additional decorations, such as (positive) real weights. Notice that the resulting cobordism group has the flavour of scissor congruence groups (for instance, surjecting onto Λ2, so that is essentially viewed as a discrete group, which is typical of scissor congruence).

4 Variations on weighted foams

Here we go back to considering oriented >0-weighted foams, not embedded anywhere, as in Section 2.

4.1 Foams with flips

The group of 𝖨𝖤𝖳 automorphisms of the interval can be enhanced with flips [0,a][0,a],xax, see [19], viewed as a subgroup of all measurable automorphisms of ([0,1],|dx|). Denote this automorphism group by G𝖿𝗅𝗂𝗉; it contains 𝖠𝗎𝗍𝖨𝖤𝖳 as a subgroup. Arnoux in [3, 4], also see [19], has shown that this group is simple, in particular, [G𝖿𝗅𝗂𝗉,G𝖿𝗅𝗂𝗉]=G𝖿𝗅𝗂𝗉.

Refer to caption
Figure 41. Left: encoding flip by a dot. Middle: a cobordism that cancels a pair of dots on a line. Right: Removing or adding two dots on a line results in a cobordant foam. Our surfaces are not embedded in 3, and the square of the flip is the identity.
a+b=a+baba+b
Figure 42. Splitting an (a+b)-line flip into a-line and b-line flips.
0a+ba+b

a+by

a+bx

0xy=0xaya+b0x<aaya+bxyyab(ya)a+byx+ba+bxa+bx0a+b0a+b0a+ba+b
Figure 43. The flip map x1x can be split as shown on the right.
Refer to caption
Figure 44. Equation (1) encodes moving a dot through a vertex, which includes flipping the order of thin edges. Relation (2) follows from Move 4 in Figure 15, which does not involve dots. Right: foam cobordism between the two foams in equation (1), with reversed orientation. Here, the direction is reversed during the interaction.

A flip of an interval [0,a] can be encoded by a dot on a line labeled a, see Figure 41. 𝖨𝖤𝖳 1-foams and 2-foams can be enhanced by flip dots and flip networks, subject to the following relations:

  • Two dots on an interval can cancel via a cobordism,

  • A flip line on an (a+b)-facet can cross a seam and become two flip lines on a,b facets, reversing the order of the two thin facets at the seam,

as shown in Figures 41 and 44. Figure 42 shows how a flip on an (a+b)-line is modified to flips on a- and b-lines, via a concordance of braid-like 1-foams with flips. Figure 43 shows the thickened version of that equivalence transformation. Denote by 𝖢𝗈𝖻>01,𝖿𝗅𝗂𝗉 the cobordism group of >0-decorated 1-foams with flips.

Theorem 4.1.

The cobordism group of weighted oriented 1-foams with flips is trivial,

(47) 𝖢𝗈𝖻>01,𝖿𝗅𝗂𝗉 0.
Proof.

Any >0-decorated 1-foam with flips U can be represented as the closure U^0 of a braid-like foam U0. To U0 there is associated the corresponding element u0G𝖿𝗅𝗂𝗉. Since G𝖿𝗅𝗂𝗉 is perfect, u0 can be represented as a product of commutators, u0=i=1k[vi,wi]. Write U0 as the composition of corresponding 1-foams, U0=i=1k[Vi,Wi]. The foam for each commutator is cobordant to the interval foam, using the argument as in Figure 12. Consequently [U]=0 in the cobordism group.


Remark 4.2.

Theorem 4.1 can also be proved directly, without invoking the perfectness of G𝖿𝗅𝗂𝗉. Start with a 1-foam U, possibly with flips. A dot can be split off from the rest of U into an a-circle with a dot, see Figure 45. An a-circle with a dot is null-cobordant, see Figure 46.

Refer to caption
Figure 45. Splitting a dot off the rest of the foam.
Refer to caption
Figure 46. An a-circle with a dot is null-cobordant.

Consequently, a 1-foam with flips is cobordant to the same foam without flips, and flips can be removed at any time when constructing a sequence of cobordisms. Present foam U as the closure of a braid-like foam U0. All crossings in U0 can be split off from a diagram as in Figure 18, along with the flips.

An order of thin edges at a vertex can be reversed by adding three dots, one on each adjacent edge, as shown in relation (1) in Figure 15, with an additional dot added on both sides of the relation on the (a+b)-line. Two dots on the (a+b)-line on the left hand side can then be cancelled via the Figure 41 cobordism. Dots can be split off as well and removed, being null-cobordant (Figure 46).

Refer to caption
Figure 47. A cobordism from Ua,b to the empty foam.

A combination of these moves transforms U0 into a cobordant foam which is a disjoint union of foams Uai,bi and a braid-like foam U2 without crossings, dots, and compatible orders of thin edges at all vertices, see Figure 17 on the right. Foam U2 is null-cobordant, as explained earlier. Foam Ua,b is null-cobordant as well, as shown in Figure 47. Consequently, U is null-cobordant.

4.2 Foams with a map into a topological space

Consider 1-foams and 2-foams equipped with a continuous map into a topological space X. Without loss of generality we can assume that X is a connected CW-complex. One can form the abelian group 𝖢𝗈𝖻>01,X of >0-decorated oriented 1-foams U with a map ψ:UX modulo cobordisms. Two 1-foams as above with maps ψi:UiX are cobordant if there is a 2-foam F with a continuous map ψ:FX such that (F,ψ)=(U1,ψ1)(U0,ψ0). For the sake of simplicity, we can further assume that X is a path-connected CW-complex.

The homotopy classes of maps ψ:UX of a 1-foam into X depend only on the fundamental group π1(X) of X. Denote this group by G and consider G-decorated 1-foams, as follows. A decoration consists of finitely many dots on edges of U, each dot labeled by an element of G. Form the standard model of the classifying space 𝖡𝖦, take its 2-skeleton and pass to the Poincaré dual P(G) of the 2-skeleton. A map of a 1-foam to 𝖡𝖦 can be deformed to a piecewise linear (PL) map into the 1-skeleton 𝖡𝖦1 of 𝖡𝖦, which we also denote ψ:U𝖡𝖦1. Here we view the 1-skeleton of 𝖡𝖦 as a subspace of P(G). The inverse image of the 1-skeleton of P(G) is then a collection of points on the edges of U labeled by elements of G. A point labeled gG corresponds to the intersections of ψ(U) with the one-cell of P(G) labeled g. Also see [9, Section 2].

A cobordism F between 1-foams U1,U2 which is a 2-foam with a map ψ:FX can be converted to a PL map into the 2-skeleton P(G), also denoted ψ. The inverse image of the 1-skeleton P(G)1 of P(G) is then a one-dimensional PL CW-complex in F with labels on edges, with possible singularities as shown in Figure 48. The edges labeled 1G can be erased.

Refer to caption
Figure 48. Possible singularities of a network of G-defects on a 2-foam. Trivalent vertices of the network on a facet (left figure) are points in ψ1(P(G)0), where P(G)0 is the 0-skeleton of the Poincaré dual P(G). Unlike that in Figure 44 on the right, the order of thin facets does not reverse when a defect line crosses a seam (right figure).
Proposition 4.3.

The cobordism group of oriented >0-decorated 1-foams equipped with a continuous map to a path-connected CW-complex X is given by

(48) (H1(X,))().

Note that, if H1(X,) is torsion, the first term vanishes.

Proof.

Denote by [g] the image of gG in H1(G)=H1(X,) and define a map

(49) γ1:𝖢𝗈𝖻>01,XH1(X,)

by sending a G-labeled oriented 1-foam U to the sum

(50) γ1(U):=iai[gi],

where the sum is over all labels giG on U and ai is the thickness of the edge which contains gi. It is clear that γ1 is invariant under cobordisms between 1-foams shown in Figure 48. Topology changes of 1-foams under cobordisms, shown in Figure 16, happen away from the one-dimensional network of G-defects on a cobordism, since the latter network can be deformed away from vertices and from local maxima and minima of seams and facets. Consequently, γ1(U) depends only on the cobordism class of U in 𝖢𝗈𝖻>01,X, so it is a well-defined map on cobordism classes [U]. Define the homomorphism

(51) γ:𝖢𝗈𝖻>01,X(H1(X,))(),γ([U])=(γ1([U]),𝖲𝖠𝖥(U)).

It is then straightforward to check that γ is an isomorphism of groups. Indeed, the defect points on a 1-foam U can be split away, each on its own circle, from the rest of U, converting U into the disjoint union of a foam U without G-defects and a union U′′ of circles C1,,Cn carrying labels g1,,gn and having thicknesses a1,,an. The cobordism class of U is an element of , and that of U′′ reduces to an element of H1(X,) as outlined above. The homomorphism γ in (51) has a section s taking a generator ag in the first term on the RHS to a circle of thickness a carrying label g, and a generator ab of the second term on the RHS to the web Ua,b shown in Figure 14, see the discussion in that section. We have γs=1. Our classification of the cobordism group without G-decorations in Theorem 2.6 and the above arguments, including splitting off G-points away from the rest of the 1-foam, imply that sγ=1, showing that γ is an isomorphism and concluding the proof.


4.3 Other variations

Remark 4.4.

D. Sullivan in [33, 35] has proved that any oriented one-dimensional solenoidal manifold M is the boundary of an oriented solenoidal surface. The idea (tributing his much earlier conversation with B. Edwards) is to represent M as the closure of a braid-like structure, that is, as the mapping torus of a homeomorphism of the Cantor set. Sullivan then uses R. D. Anderson’s theorem [2] that the homeomorphism group of the Cantor set is simple and, in particular, perfect. Representing the homeomorphism as a product of commutators allows to realize M as the boundary, schematically shown in Figure 12. This use of braid-like closures is analogous to that in the proofs of Theorems 2.64.1, where an oriented weighted 1-foam is represented as the closure of a braid 1-foam. It is likely that Sullivan’s result can be interpreted as the vanishing of K1 of a suitable assembler category [38, 37], where the assembler structure is that of coverings of the Cantor set.

Remark 4.5.

The 𝖲𝖠𝖥 invariant can be generalized to the Kenyon–Smillie invariant [15, 6], and it is an interesting question to interpret the latter via suitably decorated foam cobordisms.

Remark 4.6.

O. Lacourte [19] defines a version of interval exchange transformations for each subgroup Γ/, via the corresponding subgroup 𝖨𝖤𝖳(Γ) of the group 𝖠𝗎𝗍𝖨𝖤𝖳. He establishes an isomorphism between H1(𝖨𝖤𝖳(Γ)) and the second skew-symmetric power of Γ~ over , where Γ~ is the preimage of Γ in . It is straightforward to extend the results of Section 2 to interpret the above first homology group as the group of foam cobordisms, with the facets of foams carrying weights in Γ~>0 (and see Remark 2.9).

Lacorte also considers the group of 𝖨𝖤𝖳s with flips. This group is known to be perfect, and Theorem 4.1 is a foam interpretation of this result. Lacourte shows that subgroups 𝖨𝖤𝖳(Γ) with flips modulo the commutator may have 2-torsion, and there should be an analogue of this result for foam cobordism.

References

  • [1] J. F. Adams (1974) Stable homotopy and generalised homology. Chicago Lectures in Mathematics, University of Chicago Press, Chicago, Ill.-London. Cited by: Remark 3.14.
  • [2] R. D. Anderson (1958) The algebraic simplicity of certain groups of homeomorphisms. Amer. J. Math. 80, pp. 955–963. Cited by: Remark 4.4.
  • [3] P. Arnoux (1981) Échanges d’intervalles et flots sur les surfaces. In Ergodic theory (Sem., Les Plans-sur-Bex, 1980) (French), Monogr. Enseign. Math., Vol. 29, pp. 5–38. Cited by: §4.1.
  • [4] P. Arnoux (1981) Un invariant pour les echanges d’intervalles et les flots sur les surfaces. HAL theses. Note: Thesis (Ph.D.)–Université de Reims Champagne-Ardenne Cited by: §4.1.
  • [5] (2012) Skew of 2-cocycle for trivial group action of abelian group is alternating bihomomorphism. Note: https://groupprops.subwiki.org/wiki/Skew_of_2-cocycle_for_trivial_group_action_of_abelian_group_ is_alternating_bihomomorphism Cited by: §3.
  • [6] K. Calta (2004) Veech surfaces and complete periodicity in genus two. J. Amer. Math. Soc. 17 (4), pp. 871–908. Cited by: Remark 4.5.
  • [7] C. Caprau, G. Coloma, and M. Davis (2020) The L-move and Markov theorems for trivalent braids. Involve 13 (1), pp. 21–50. Cited by: Remark 2.8.
  • [8] H. T. Do and T. A. Schmidt (2016) New infinite families of pseudo-Anosov maps with vanishing Sah-Arnoux-Fathi invariant. J. Mod. Dyn. 10, pp. 541–561. Cited by: §1, §2.
  • [9] D. Gepner, M. S. Im, M. Khovanov, and N. Kitchloo (2024) Foams with flat connections and algebraic K-theory. arXiv preprint arXiv:2405.14465, pp. 1–57. Cited by: §1, Remark 2.7, §4.2.
  • [10] Y. Harpaz (2012) Complex Cobordism and Formal Group Laws. Online lecture notes, https://www.math.univ-paris13.fr/\urltildeharpaz/complex_cobordism.pdf, pp. 1–19. Cited by: Remark 3.14.
  • [11] M. S. Im and M. Khovanov (2024) Entropy, cocycles, and their diagrammatics. arXiv preprint arXiv:2409.08462, pp. 1–82. Cited by: §3.
  • [12] A. Ishii (2015) The Markov theorems for spatial graphs and handlebody-knots with Y-orientations. Internat. J. Math. 26 (14), pp. 1550116, 23. Cited by: Remark 2.8.
  • [13] K. Kanno and K. Taniyama (2010) Braid presentation of spatial graphs. Tokyo J. Math. 33 (2), pp. 509–522. Cited by: Remark 2.8.
  • [14] L. H. Kauffman (1989) Invariants of graphs in three-space. Trans. Amer. Math. Soc. 311 (2), pp. 697–710. Cited by: §2.4.
  • [15] R. Kenyon and J. Smillie (2000) Billiards on rational-angled triangles. Comment. Math. Helv. 75 (1), pp. 65–108. Cited by: Remark 4.5.
  • [16] M. Khovanov and N. Kitchloo (2024) A deformation of Robert-Wagner foam evaluation and link homology. In Algebraic and topological aspects of representation theory, Contemp. Math., Vol. 791, pp. 147–204. Cited by: §1.
  • [17] M. Khovanov (2004) 𝔰𝔩(3) Link homology. Algebr. Geom. Topol. 4, pp. 1045–1081. Cited by: §1.
  • [18] P. B. Kronheimer and T. S. Mrowka (2019) Tait colorings, and an instanton homology for webs and foams. J. Eur. Math. Soc. (JEMS) 21 (1), pp. 55–119. Cited by: §1.
  • [19] O. Lacourte (2022) Abelianization of some groups of interval exchanges. Ann. Inst. Fourier (Grenoble) 72 (1), pp. 59–108. Cited by: §4.1, Remark 4.6.
  • [20] M. Mackaay and P. Vaz (2007) The universal sl3-link homology. Algebr. Geom. Topol. 7, pp. 1135–1169. Cited by: §1.
  • [21] J. P. May (1999) A concise course in algebraic topology. Chicago Lectures in Mathematics, University of Chicago Press, Chicago, IL. Cited by: Remark 3.14.
  • [22] J. R. Munkres (2000) Topology. Second edition, Prentice Hall, Inc., Upper Saddle River, NJ. Cited by: §2.4.1.
  • [23] U. Oertel (1984) Incompressible branched surfaces. Invent. Math. 76 (3), pp. 385–410. Cited by: §2.2.
  • [24] U. Oertel (1988) Measured laminations in 3-manifolds. Trans. Amer. Math. Soc. 305 (2), pp. 531–573. Cited by: Figure 5, §2.1, §2.2.
  • [25] R. C. Penner and J. L. Harer (1992) Combinatorics of train tracks. Annals of Mathematics Studies, Vol. 125, Princeton University Press, Princeton, NJ. Cited by: §2.4.2, §3.
  • [26] E. Peterson (2019) Formal geometry and bordism operations. Cambridge Studies in Advanced Mathematics, Vol. 177, Cambridge University Press, Cambridge. Note: With a foreword by Matthew Ando Cited by: Remark 3.14.
  • [27] H. Queffelec and K. Walker (2022) Movie moves for framed foams from multijet transversality. arXiv preprint arXiv:2205.14947, pp. 1–88. Cited by: §2.1, §2.1.
  • [28] L. Robert and E. Wagner (2020) A closed formula for the evaluation of foams. Quantum Topol. 11 (3), pp. 411–487. Cited by: §1.
  • [29] L. Robert and E. Wagner (2020) Symmetric Khovanov-Rozansky link homologies. J. Éc. polytech. Math. 7, pp. 573–651. Cited by: §2.1.
  • [30] D. E. V. Rose and P. Wedrich (2016) Deformations of colored 𝔰𝔩N link homologies via foams. Geom. Topol. 20 (6), pp. 3431–3517. Cited by: §1.
  • [31] M. Spitzweck (2020) Algebraic cobordism in mixed characteristic. Homology Homotopy Appl. 22 (2), pp. 91–103. Cited by: Remark 3.14.
  • [32] N. P. Strickland (2019) Formal groups. https://strickland1.org/courses/formalgroups/fg.pdf, pp. 1–63. Cited by: Remark 3.14.
  • [33] D. Sullivan (2014) Solenoidal manifolds. J. Singul. 9, pp. 203–205. Cited by: Remark 4.4.
  • [34] W. A. Veech (1984) The metric theory of interval exchange transformations. III. The Sah-Arnoux-Fathi invariant. Amer. J. Math. 106 (6), pp. 1389–1422. Cited by: §1, §2.
  • [35] A. Verjovsky (2014) Commentaries on the paper “Solenoidal Manifolds” by Dennis Sullivan. J. Singul. 9, pp. 245–251. Cited by: Remark 4.4.
  • [36] Y. Vorobets (2011) Notes on the commutator group of the group of interval exchange transformations. arXiv preprint arXiv:1109.1352, pp. 1–16. Cited by: §1, §2.3, §2.
  • [37] I. Zakharevich (2017) On K1 of an assembler. J. Pure Appl. Algebra 221 (7), pp. 1867–1898. Cited by: §1, §2.4, Remark 2.3, Remark 2.7, Remark 4.4.
  • [38] I. Zakharevich (2017) The K-theory of assemblers. Adv. Math. 304, pp. 1176–1218. Cited by: §1, Remark 2.7, Remark 4.4.
  • [39] A. Zorich (2006) Flat surfaces. In Frontiers in number theory, physics, and geometry. I, pp. 437–583. Cited by: Remark 2.10.
  • [40] A. Zorich (2006) Geodesics on flat surfaces. In International Congress of Mathematicians. Vol. III, pp. 121–146. Cited by: Remark 2.10.