Representations of the group of two-diagonal triangular matrices.

Dmitry FuchsDepartment of Mathematics,
University of California, Davis,
email: fuchs@math.ucdavis.edu Γ—
,   Alexandre KirillovDepartment of Mathematics,
University of Pennsylvania,
email: kirillov@math.upenn.edu Γ—
Abstact.
Let G be a Lie group, 𝔀=Lie(G) – its Lie algebra, π”€βˆ— – the dual vector space and G^ – the set of equivalence classes of unitary irreducible representations of G. The orbit method [1] establishes a correspondence between points of G^ and G-orbits in π”€βˆ—. For many Lie groups it gives the answers to all major problems of representation theory in terms of coadjoint orbits. Formally, the notions and statements of the orbit method make sense when G is infinite-dimensional Lie group, or an algebraic group over a topological field or ring K, whose additive group is self dual (e.g., p-adic or finite).

In this paper, we introduce a big family of finite groups Gn, for which the orbit method works perfectly well. Namely, let Nn⁒(𝕂) be the algebraic group of upper unitriangular (n+1)Γ—(n+1) matrices with entries from 𝕂, and 𝔽q be the finite field with q elements. We define Gn as the quotient of of the group Nn+1⁒(𝔽q) over its second commutator subgroup.

To Leonid Makar-Limanov on the ocasion of his 80-th birthday

1 Introduction

This paper is part of a bigger program of the application of the orbit method in representation theory. The main ingredient of the orbit method is the notion of a coadjoint orbit. The method works not only for ordinary Lie groups, but also for infinite-dimensional Lie groups and for algebraic groups over a topological ring 𝕂, which satisfies the following condition. Every additive character of 𝕂 has the form χλ⁒(x)=𝐞⁒(λ⁒x), where Ξ»βˆˆπ•‚ and 𝐞 is a fixed non-trivial character.333In other words, the additive group 𝕂+ is Pontryagin self-dual. This condition is satisfied for real, complex, quaternion, p-adic and finite fields and also for the adele ./ring.

It is known (see. e.g. [1]) that the method can be formulated as a collection of simple rules, which gives transparent answers to all main questions. This β€œUser’s guide” can be understood literally when the group in question is a connected and simply connected nilpotent Lie group. For many other Lie or algebraic groups it works after some algebraic and/or topological corrections. There are also groups, for which the right application of the orbit method is still unknown.

One time it was a hope that some modification of the orbit method will work for the groups Nn⁒(𝔽q) of upper unitriangular (n+1)Γ—(n+1) matrices with elements from a finite field 𝔽q (considered as algebraic groups). A simple argument shows that the number of coadjoint orbits of the group Nn⁒(𝔽q) is equal to the number of conjugacy classes, hence to the number of equivalence classes of irreducible representations of this group. However, the explicit construction of irreducible representations and their characters in terms of coadjoint orbits is known only for small n.

In this paper, we consider a family of groups related to, but more simple than the full triangular group Nn⁒(𝕂), for which all questions of representation theory have explicit answers in terms of coadjoint orbits. Namely, we consider the quotient group of Nn⁒(𝕂) by its second commutant [[Nn⁒(𝕂),Nn⁒(𝕂)],Nn⁒(𝕂)]. We call it β€œtwo-diagonal group” and denote by T⁒Dn⁒(𝕂), or simply Gn. It is a (2⁒nβˆ’1)-dimensional affine algebraic group over the field 𝕂. As such the group Gn has the Lie algebra 𝔀n with the dual space 𝔀nβˆ—. These spaces are the spaces of respectively, the adjoint and coadjoint representations of Gn. Our first goal is to describe explicitly orbits of these two representations.

At the beginning, we impose no restrictions on the ground field 𝕂, but out main results (Sections 2.2, 3.2, 4, 5) concern the case 𝕂=𝔽q.

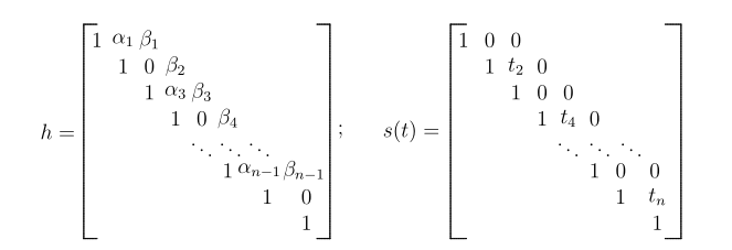
Both 𝔀n and 𝔀nβˆ— can be realized as subquotients of the full matrix space Mat(𝕂)n. We choose the coordinates {ai}1≀i≀n,{bj}1≀j≀nβˆ’1 for Aβˆˆπ”€n and {xi}1≀i≀n,{yj}1≀j≀nβˆ’1 for Fβˆˆπ”€nβˆ—, so that

A=[0a1b1…0000a2…00………………000…anβˆ’1bnβˆ’1000…0an000…00],F=[00…000x10…000y1x2…000………………00…xnβˆ’10000…ynβˆ’1xn0].

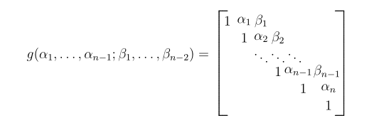
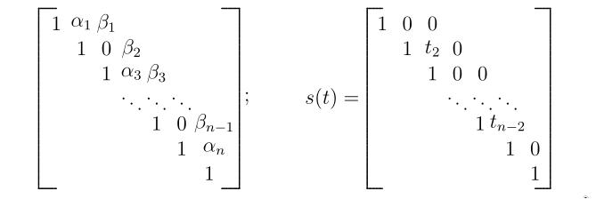
A general element of the group Gn has the form

[1Ξ±1Ξ²1…0001Ξ±2…00………………000…αnβˆ’1Ξ²nβˆ’1000…1Ξ±n000…01]

This justifies the name β€œtwo-diagonal group”). We denote this element by g⁒(Ξ±Β―;Ξ²Β―) where Ξ±Β―=(Ξ±1,…,Ξ±n) and Ξ²Β―=(Ξ²1,…,Ξ²nβˆ’1). The group laws are

g(Ξ±1,….,Ξ±n;Ξ²1,…,Ξ²nβˆ’1)g(Ξ±1β€²,….,Ξ±nβ€²;Ξ²1β€²,…,Ξ²nβˆ’1β€²)=g⁒(Ξ±1+Ξ±1β€²,…,Ξ±n+Ξ±nβ€²;Ξ²1+Ξ²1β€²+Ξ±1⁒α2β€²,…,Ξ²nβˆ’1+Ξ²nβˆ’1β€²+Ξ±nβˆ’1⁒αnβ€²);g(Ξ±1,….,Ξ±n;Ξ²1,…,Ξ²nβˆ’1)βˆ’1=g(βˆ’Ξ±1,…,βˆ’Ξ±n;βˆ’Ξ²1+Ξ±1Ξ±2,…,βˆ’Ξ²nβˆ’1+Ξ±nβˆ’1Ξ±n)

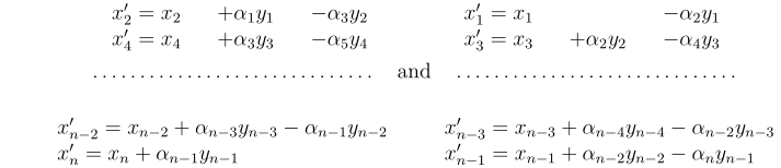
For adjoint and coadjoint representations, the action of g⁒(Ξ±Β―,Ξ²Β―)∈Gn does not depend on Ξ²Β―. The diagonals of a’s and y’s are invariant with respect to the Gn-actions, and the action on the diagonals of b’s and x’s is described by the formulas:

[b1β€²b2′…bnβˆ’1β€²]=[b1b2…bnβˆ’1]+[Ξ±1⁒α2⁒…⁒αn]β‹…S,
[x1′⁒x2′⁒…⁒xnβ€²]=[x1⁒x2⁒…⁒xn]+[Ξ±1Ξ±2…αn]β‹…T,

where the (nβˆ’1)Γ—n matrix S and the nΓ—n matrix T are

S=[a20…00βˆ’a1a3…00……………00…anβˆ’1000β€¦βˆ’anβˆ’2an00…0βˆ’anβˆ’1],T=[0y10…000βˆ’y10y2…0000βˆ’y20…000…………………000…0ynβˆ’20000β€¦βˆ’ynβˆ’20ynβˆ’1000…0βˆ’ynβˆ’10].

It will be more convenient to us to write the above formulas for the Gn-action in a more traditional form:

[Uncaptioned image]

We will refer to orbits of the coadjoint representation as just to β€œorbits,” and to orbits of the adjoint representation as to β€œclasses.”

2 Orbits.

2.1 Description.

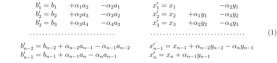
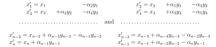
For given y1,…,ynβˆ’1;x1,…,xn;x1β€²,…,xnβ€² we consider the right system (1) as the system of n equations with n unknowns Ξ±1,…⁒αn. If this system has a solution, then the matrices with x1,…,xn and x1β€²,…,xnβ€² belong to the same orbit.

First consider the case, when y1,…,ynβˆ’1 are all different from zero. Our system splits into two systems with unknowns Ξ±1,Ξ±3,Ξ±5⁒… and unknowns Ξ±2,Ξ±4,Ξ±6,…, and this splitting looks differently in the cases of even and odd n.

If n is even, then the two systems are

[Uncaptioned image]

Both systems have unique solutions. We solve the first system β€œfrom the bottom to the top”: we find Ξ±nβˆ’1 from the last equation, then we find Ξ±nβˆ’3 from the equation before the last, and so on, up to Ξ±3 from the second equation and Ξ±1 from the first equation. The second system can be solved β€œfrom the top to the bottom”: we find Ξ±2 from the first equation, then find Ξ±4 from the second equation, and so on. Thus, in this case there is only one orbit (corresponding to the fixed set y1,…,ynβˆ’1 of non-zero elements of 𝕂). This orbit is an n-dimensional vector space over 𝕂 with coordinates x1,…,xn.

If n is odd, then the two systems are

[Uncaptioned image]

For the second system, the number of equations is one less than the number of unknowns. It has more than one solution: we can choose arbitrary Ξ±n and then find Ξ±nβˆ’2,Ξ±nβˆ’4,…,Ξ±3,Ξ±1 from our equations from the bottom to the top. However, for the first system, the number of equations is one more than the number of unknown. We can find Ξ±2,Ξ±4,…,Ξ±nβˆ’3,Ξ±nβˆ’1 using all the equations except the last one, xnβ€²=xn+Ξ±nβˆ’1⁒ynβˆ’1, and the value of Ξ±nβˆ’1, which we have already found, may unfit this last equation. A simple computation shows that this equation is satisfied if the equality

[Uncaptioned image]

holds. In other words, the expression in the left hand side of (2) is an invariant of the action of Gn, and, in the case of odd 𝐧, the orbit is characterized by the set y1,…,ynβˆ’2 of non-zero elements of 𝕂 and the value Iβˆˆπ•‚ of our invariant (which may be 0).The dimension of the orbit in this case is nβˆ’1 with coordinates x1,…,xnβˆ’1.

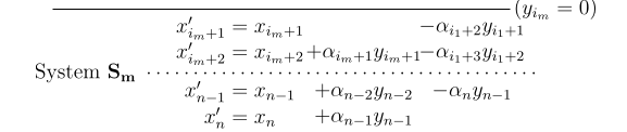
Now let us turn to the general case: suppose that yi1=β‹―=yim=0⁒(1≀i1<β‹―<im≀nβˆ’1), while all the remaining nβˆ’1βˆ’m y’s are different from zero. Then the right system (1) splits into m+1 independent systems, π’πŸŽ,π’πŸ,…,𝐒𝐦:

[Uncaptioned image][Uncaptioned image]

Let us introduce additional notations: i0=0,im+1=n, and jr=ir+1βˆ’ir for r=0,1,…,k. Thus, j0+j1+β‹―+jm=n.

The systems π’πŸŽ,π’πŸ,…,𝐒𝐦 have disjoint sets of unknowns: the jr unknowns in the system 𝐒𝐫 are Ξ±ir+1,…,Ξ±ir+1 (up to the numerations of α’s, x’s x′’s, and y’s) are reduced copies of the right system (1), and we can apply to it our findings for that system. Thus, if jr is even, then the system 𝐒𝐫 has a unique solution Ξ±ir+1,…,Ξ±ir+1, and if jr is odd then the system 𝐒𝐫 is consistent (although a solution is not unique) if and only if Ir=Irβ€², where

Ir=xir+1⁒yir+2⁒yir+4⁒…⁒yir+1βˆ’1+yir+1⁒xir+3⁒yir+4⁒yir+6⁒…⁒yir+1βˆ’1+β‹―++yir+1⁒yir+3⁒…⁒yir+1βˆ’5⁒xir+1βˆ’3⁒yir+1βˆ’2+yir+1⁒yir+3⁒…⁒yir+1βˆ’3⁒xir+1βˆ’1,

and Irβ€² is defined by the same formula with all x’s replaced by x′’s.

We arrive at the following description of all orbits of Gn.

First, we need to fix an ordered partition

n=j0+j1+β‹―+jm

(where j0,j1,…,jm are positive integers). Then we put

i1=j0,i2=j0+j1,i3=j0+j1+j2,…⁒…⁒…⁒…⁒…im=j0+j1+β‹―+jmβˆ’1.

Second, we choose y1,…,ynβˆ’1βˆˆπ•‚ such that yi1=β‹―=yim=0 and all the other y’s are different from zero.

Third, we choose a vrβˆˆπ•‚ for each r from 0,1,…,m such that jr is odd.

These data determine an orbit. This orbit consists of the matrices with y’s fixed above and arbitrary x1,…,xnβˆˆπ•‚ satisfying the condition Ir=vr for all r such that jr is odd. If Ξ½ is the number of such r then the dimension of this orbit is nβˆ’Ξ½. Notice that Ξ½ and n have the same parity, nβˆ’Ξ½=2⁒k for an integer k, 0≀k≀[n2]. Hence the dimension of the orbit is 2⁒k, in particular, the dimensions of all orbits are even.

If 𝕂=𝔽q, then the number of orbits corresponding to an ordered partition n=j0+j1+β‹―+jm is (qβˆ’1)nβˆ’mβˆ’1⁒qΞ½.

Notice that if ΞΌ is the number of even terms of our partition, then μ≀k. Indeed, each even term of the partition is at least 2, and each odd term is at least 2. Hence nβ‰₯2⁒μ+Ξ½=2⁒μ+(nβˆ’2⁒k)=nβˆ’2⁒(kβˆ’ΞΌ)β‡’kβˆ’ΞΌβ‰₯0.

2.2 The number of orbits of given dimension.

We suppose again that 𝕂=𝔽q. The following holds:

Theorem 2.1

The number of orbits of Gn of dimension 2⁒k is

qnβˆ’kβˆ’1⁒(qβˆ’1)k⁒((nβˆ’kβˆ’1k)⁒q+(nβˆ’kβˆ’1kβˆ’1)).

The proof is based on the following combinatorial

Lemma 2.2

The number of (ordered) partition of nβ‰₯2⁒μ+Ξ½ into the sum of ΞΌ even and Ξ½ odd positive integers is

(ΞΌ+Ξ½ΞΌ)β‹…((n+Ξ½)/2βˆ’1ΞΌ+Ξ½βˆ’1).

Proof of Lemma 2.2. To specify a partition of n into ΞΌ even and Ξ½ odd summands, we first need to choose ΞΌ positions for the even summands, which can be done in (ΞΌ+Ξ½ΞΌ) ways. Then we transform all our partitions in the following way: we add 1 to each odd summand and then divide all the summands by 2. We get an ordered partition of the number n+Ξ½2 into ΞΌ+Ξ½ summands with no condition on the parity of the summands. It is well known that the number of such partitions is ((n+Ξ½)/2βˆ’1ΞΌ+Ξ½βˆ’1), which implies our statement.

Proof of Theorem 2.1. According to Section 2.1, 2⁒k-dimensional orbits of Gn correspond to (ordered) partitions of n with the number of odd terms equal to Ξ½=nβˆ’2⁒k. The number of orbits corresponding to partitions with ΞΌ even and Ξ½ odd parts is

(qβˆ’1)nβˆ’(ΞΌ+Ξ½)⁒qΞ½=(qβˆ’1)2⁒kβˆ’ΞΌβ’qnβˆ’2⁒k.

By Lemma, the number of such partitions is

(ΞΌ+Ξ½ΞΌ)⁒((n+Ξ½)/2βˆ’1ΞΌ+Ξ½βˆ’1)=(nβˆ’2⁒k+ΞΌΞΌ)⁒(nβˆ’kβˆ’1kβˆ’ΞΌ)=(nβˆ’kβˆ’1)⁒(nβˆ’kβˆ’2)⁒…⁒(nβˆ’2⁒k+ΞΌ)(kβˆ’ΞΌ)!β‹…(nβˆ’2⁒k+ΞΌ)⁒…⁒(nβˆ’2⁒k+1)ΞΌ!=(nβˆ’kβˆ’1)⁒(nβˆ’kβˆ’2)⁒…⁒(nβˆ’2⁒k+1)(kβˆ’ΞΌ)!⁒μ!β‹…(nβˆ’2⁒k+ΞΌ).

Thus the total number of orbits of dimension 2⁒k is

βˆ‘b=0k(nβˆ’kβˆ’1)⁒(nβˆ’kβˆ’2)⁒…⁒(nβˆ’2⁒k+1)(kβˆ’ΞΌ)!⁒μ!⁒(qβˆ’1)2⁒kβˆ’ΞΌβ’qnβˆ’2⁒kβ‹…(nβˆ’2⁒k+ΞΌ)=(nβˆ’kβˆ’1)⁒…⁒(nβˆ’2⁒k+1)k!⁒qnβˆ’2⁒k⁒(qβˆ’1)kβ’βˆ‘ΞΌ=0k(nβˆ’2⁒k+ΞΌ)⁒(kΞΌ)⁒(qβˆ’1)kβˆ’ΞΌ

The sum in the last line is

(nβˆ’k)β’βˆ‘ΞΌ=0k(kΞΌ)⁒(qβˆ’1)kβˆ’ΞΌβˆ’βˆ‘ΞΌ=0k(kβˆ’ΞΌ)⁒(kΞΌ)⁒(qβˆ’1)kβˆ’ΞΌ=(nβˆ’2⁒k)⁒qkβˆ’(qβˆ’1)⁒d⁒(qk)d⁒q=(nβˆ’k)⁒qkβˆ’k⁒(qβˆ’1)⁒qkβˆ’1=(nβˆ’2⁒k)⁒qk+k⁒qkβˆ’1=qkβˆ’1⁒((nβˆ’2⁒k)⁒q+k).

We plug this expression for the sum into the last formula and see that the total number of orbits of dimension 2⁒k is

qnβˆ’kβˆ’1⁒(qβˆ’1)k⁒((nβˆ’kβˆ’1)⁒…⁒(nβˆ’2⁒kβˆ’1)k!⁒q+(nβˆ’kβˆ’1)⁒…⁒(nβˆ’2⁒k)(kβˆ’1)!)=qnβˆ’kβˆ’1⁒(qβˆ’1)k⁒((nβˆ’kβˆ’1k)⁒q+(nβˆ’kβˆ’1kβˆ’1)).

2.3 More on ordered partitions.

Since ordered partitions of natural numbers played an essential role in the previous section, we present here a survey of their properties. Technically, the results of these section will be used only in Section 5 below, so the reader may postpone its reading until that section.

2.3.1. Partial ordering. Intervals.

There is a partial ordering in the set of all ordered partitions of a number n: a partition 𝒫1 of n precedes a partition 𝒫2 (notations: 𝒫1βͺ―𝒫2 or 𝒫2βͺ°π’«1), if the parts of 𝒫2 are obtained from the parts of 𝒫1 by a further subdivision. Notice that if Ξ½i is the number of odd terms of the partition 𝒫i and 𝒫1βͺ―𝒫2, then Ξ½1≀ν2 (there is no such inequality for even terms).

A more visualizable description of this partial ordering can be done in terms of dividers. Namely, an ordered partition of n may be presented as a line of n dots with dividers placed between some of them. For example, the diagram

[Uncaptioned image]

presents the partition 1+2+2+1+3+2 of the number 11. In the language of such diagrams, the relation 𝒫1βͺ―𝒫2 means that the diagram for 𝒫2 is obtained from the diagram for 𝒫1 by adding some (maybe, empty) set of additional dividers.

Notice also that if 𝒫 is a partition with m terms, then the diagram for 𝒫 contains mβˆ’1 dividers.

If 𝒫1βͺ―𝒫2, then the interval [𝒫1,𝒫2], or the interval with the head 𝒫1 and the tail 𝒫2, consists of all partition 𝒫 such that 𝒫1βͺ―𝒫βͺ―𝒫2. In terms of the dots/dividers diagrams, the diagram for a 𝒫 in the interval [𝒫1,𝒫2] contains all the dividers from the diagram for 𝒫 plus some (maybe, empty) subset of the set of the additional dividers of 𝒫2. If mi is the number of terms of the partition 𝒫i, then the number of these additional dividers is (m2βˆ’1)βˆ’(m1βˆ’1)=m2βˆ’m1, and the set of additional dividers has 2m2βˆ’m1 subsets. Accordingly, the interval [𝒫1,𝒫2] consists of 2m2βˆ’m1 partitions. For example, the set of all ordered partitions of n is the interval with the head n=n and the tail n=1+1+β‹―+1. So, the total number of ordered partitions of n is 2nβˆ’1.

Notice also that if the number of odd terms in the partition 𝒫i is Ξ½i, then the number Ξ½ of odd terms in any partition 𝒫 in the interval [𝒫1,𝒫2] the inequalities Ξ½1≀ν≀ν2 hold. In particular, if 𝒫1 and 𝒫2 have the same number Ξ½ of odd terms, then every partition in the interval [𝒫1,𝒫2] also has Ξ½ odd terms.

2.3.2. Partitions of even and odd types.

The following definition looks artificial, but it will be crucially important in the last section of this article.

Definition. We say that the ordered partition n=n1+n2+β‹―+nm of n belongs to the even (odd) type, if the first nk, which is not equal to 1, is even (odd).

This definition becomes ambiguous for the partition 1+1+β‹―+1, and we declare that this partition belongs to both even and all types. For example, if n=5, then:

Partitions of the even type:

4+1, 2+3, 2+2+1, 2+1+2, 2+1+1+1, 1+4, 1+2+2, 1+2+1+1,1+1+2+1, 1+1+1+2, 1+1+1+1+1.

Partition of the odd type:

5, 3+2, 3+1+1, 1+3+1, 1+1+3, 1+1+1+1+1.

2.3.3. Numbers of ordered partitions

Let Qeven⁒(n),Qodd⁒(n) be the numbers of ordered partitions of n of, respectively, even and odd type. Since the full number of ordered partitions of n is 2nβˆ’1 and one partition (1+1+β‹―+1) belongs to the both types, the sum Qeven⁒(n)+Qodd⁒(n) must be 2nβˆ’1+1. It is easy to find the numbers Qeven⁒(n) and Qodd⁒(n) for small values of n:

[Uncaptioned image]

To fill this table in, we can either to list and count all ordered partitions of either type (at it is done for n=5 above), or use the equality Qeven⁒(n)+Qodd⁒(n)=2nβˆ’1+1 and the following simple

Lemma 2.3

For every nβ‰₯1,

Qeven⁒(n)=Qodd⁒(n+1).

Proof. To establish a bijection between the even type partitions of n and the odd type partitions of n+1, we put 1+1+β‹―+1⏟n⟷1+1+β‹―+1⏟n+1 and assign to every other even type partition of n the same partition of n+1 with the first even term increased by 1.

Using these equality and lemma, we fill the two middle rows of the table beginning with Qodd⁒(1)=1⁒ and following the path

[Uncaptioned image]

Here is the final result:

Proposition 2.4
Qeven⁒(n)={2n+23,if⁒n⁒is⁒even,2n+13,if⁒n⁒is⁒odd.⁒Qodd⁒(n)={2nβˆ’1+13,if⁒n⁒is⁒even,2nβˆ’1+23,if⁒n⁒is⁒odd.

Proof. It is sufficient to check that Qodd⁒(1)=1,Qodd⁒(n)+Qeven⁒(n)=2nβˆ’1+1, and Qeven⁒(n)=Qodd⁒(n+1). In all these cases the check is immediate.

Corollary 2.5
Qeven⁒(n)={2⁒Qodd⁒(n),if⁒n⁒is⁒even,2⁒Qodd⁒(n)+1,if⁒n⁒is⁒odd.

In conclusion, we will provide two more calculations, which will be useful below (in Section 5). It will be the first, but not the last, example of calculations, which result in the Fibonacci numbers. For the Fibonacci numbers, we use the notation 𝐅n, where 𝐅0=0,𝐅1=1, and 𝐅n=𝐅nβˆ’1+𝐅nβˆ’2, if nβ‰₯2.

We begin with two examples of partitions of even and odd types. First, a partition with all terms equal to 1 or 2 belongs to the even type. Second, a partition with all terms odd belongs to the odd type.

Proposition 2.6

The number of ordered partitions of n into 1’s and 2’s is 𝐅n+1.

Examples. For n=1, 1=𝐅2 partition: 1.

For n=2, 2=𝐅3 partitions: 2;1+1.

For n=3, 3=𝐅4 partitions: 1+2,2+1; 1+1+1.

For n=4, 5=𝐅5 partitions: 2+2;1+1+2,1+2+1,2+1+1; 1+1+1+1.

For n=5, 8=𝐅6 partitions: 1+2+2,2+1+2,2+2+1; 1+1+1+2,1+1+2+1, 1+2+1+1,2+1+1+1; 1+1+1+1+1.

Proof of Proposition 2.6. Let the number of ordered partitions of n into 1’s and 2’s be Bn. Then, B1=1=𝐅2,B2=2=𝐅3 (see above). Furthermore, if a partition of nβ‰₯3 into 1’s and 2’s ends with 1, then we remove this 1 and obtain a partition of nβˆ’1 into 1’s and 2’s; if it ends with 2, we remove this 2, and obtain a partition of nβˆ’2 into 1’s and 2’s. Moreover, any ordered partition of nβˆ’1 or of nβˆ’2 into 1’s and 2’s may be obtained in this way. Hence, Bn=Bnβˆ’1+Bnβˆ’2, so Bn=𝐅n+1.

Proposition 2.7

The number of ordered partitions of n into odd terms is Fn.

Examples. For n=1, 1=𝐅1 partition: 1.

For n=2, 1=𝐅2 partition: 1+1.

For n=3, 2=𝐅3 partitions: 3,1+1+1.

For n=4, 3=𝐅4 partitions: 1+3,3+1,1+1+1.

For n=5, 5=𝐅5 partitions: 5,1+1+3,1+3+1,3+1+1,1+1+1+1+1.

For n=6, 8=𝐅6 partitions: 1+5,3+3,5+1,1+1+1+3,1+1+3+1,

1+3+1+1,3+1+1+1,1+1+1+1+1+1.

Proof of Proposition 2.7. Let the number of ordered partitions of n into odd terms be Cn. Then, C1=1=𝐅1,C2=1=𝐅2 (see above). Furthermore, if a partition of nβ‰₯3 into odd terms ends with 1, then we remove this 1 and obtain a partition of nβˆ’1 into odd terms; if the last term is 3 or more, we subtract 2 from this term, and obtain a partition of nβˆ’2 into odd terms. Moreover, any ordered partition of nβˆ’1 or of nβˆ’2 into odd terms may be obtained in this way. Hence, Cn=Cnβˆ’1+Cnβˆ’2, so Cn=𝐅n.

2.4 Basic orbits.

We will call the orbits corresponding to the sets of non-zero y’s basic. Then, in some sense, all orbits are products of basic orbits. Let j0,…,jm and i1,…,im be as in Section 2.1. Consider the projection

(3) Gn→Gj0×Gj1×⋯×Gjm

presented graphically (in the case n=7,k=2,j0=2,j1=3,j2=2,i1=2,i2=5) in the diagram below:

[Uncaptioned image]

The kernel of the projection (3) is the central subgroup of Gn described by the conditions: all α’s and β’s are zero, except Ξ²i1,…,Ξ²ik (Ξ²2 and Ξ²5 in the diagram above).

Thus the entries of the group Gjr from this construction (0≀r≀k) acquire the notations Ξ±ir+1,…,Ξ±ir+1;Ξ²ir+1,…,Ξ²ir+1βˆ’1; its adjoint representation is defined in the space of upper triangular matrices with the entries air+1,…,air+1;bir+1,…,bir+1βˆ’1; and its coadjoint representation is defined in the space of lower triangular matrices with the entries xir+1,…,xir+1;yir+1,…,yir+1βˆ’1.

For fixed non-zero yir+1,…,yir+1βˆ’1, plus one additional invariant if jr=ir+1βˆ’ir is odd (see Section 2.1), there arises a basic orbit of the group Gjr+1; fix such orbit for every r. The product of these orbits lies the space of the coadjoint representation of the product Gj0+1Γ—β‹―Γ—Gjk+1 and is an orbit of this product group. The projection (3) gives rise to the action of the group Gn in this orbit, and with this action, it is not different from the orbit of Gn corresponding to the partition n=j0+β‹―+jk and the set of nβˆ’1 y’s,

[Uncaptioned image]

3 Classes

3.1 Description

The values of a1,…,an are fixed within a class, so we need to consider possible equivalences between the sequences b1,…,bnβˆ’1 for every fixed sequence a1,…,an. The sequences b1,…,bnβˆ’1 and b1β€²,…,bnβˆ’1β€² are equivalent, if the left system (1),

b1β€²=b1+Ξ±1⁒a2βˆ’Ξ±2⁒a1b2β€²=b2+Ξ±2⁒a3βˆ’Ξ±3⁒a2b3β€²=b3+Ξ±3⁒a4βˆ’Ξ±4⁒a3
…⁒…⁒…⁒…⁒…⁒…⁒…⁒…⁒…
bnβˆ’2β€²=bnβˆ’2+Ξ±nβˆ’2⁒anβˆ’1βˆ’Ξ±nβˆ’1⁒anβˆ’2bnβˆ’1β€²=bnβˆ’1+Ξ±nβˆ’1⁒anβˆ’Ξ±n⁒anβˆ’1

has a solution in Ξ±1,…⁒αn. If all a’s are non-zero, then this system has a solution, so in this case there is one class of capacity 𝕂nβˆ’1 and the set of these classes is labeled by elements of (𝕂×)n. Let us look, what happens if some ai are zeroes.

If ai=0, but aiβˆ’1β‰ 0 and ai+1β‰ 0 (in particular, iβ‰ 1,n), then the equations with biβˆ’1 and bi become

biβˆ’1β€²=biβˆ’1βˆ’Ξ±i⁒aiβˆ’1biβ€²=bi+Ξ±i⁒ai+1,

which implies

biβˆ’1′⁒ai+1+bi′⁒aiβˆ’1=biβˆ’1⁒ai+1+bi⁒aiβˆ’1.

Thus for the consistency of our system it is necessary that the last equality holds. In other words, biβˆ’1⁒ai+1+bi⁒aiβˆ’1 is an invariant, that is, it is fixed within a class.

We say that the set {ai+1,ai+2,…,ai+m} forms a string of zeroes of length m if the following holds: ai+1=ai+2=β‹―=ai+m=0; if i>0 then aiβ‰ 0; if i+m<n then ai+m+1β‰ 0. If {ai+1,ai+2,…,ai+m} is string of zeroes of length mβ‰₯2, then our system contains a part

biβ€²=biβˆ’Ξ±i+1⁒aibi+1β€²=bi+1bi+2β€²=bi+2
…⁒…⁒…⁒…⁒…⁒…⁒…⁒…⁒…⁒…
bi+mβˆ’1β€²=bi+mβˆ’1bi+mβ€²=bi+m+Ξ±i+m⁒ai+m+1

(the first line is absent if i=0, and the last line is absent, if i=nβˆ’m). Thus for the consistency of our system it is necessary that bi+1β€²=bi+1,…,bi+mβˆ’1β€²=bi+mβˆ’1. In other words, bi+1,…,bi+mβˆ’1 are invariants.

Below, we will refer to non-zero ai as to a-invariants, and to invariants involving bj as to b-invariants.

Thus, for any fixed a1,a2,…,anβˆ’1 we have a full description of invariants; this description depends only on the locations of zero a’s. For example, if n=10 and a1=a3=a4=a5=a7=a9=a10=0, while a2β‰ 0,a6β‰ 0,a8β‰ 0, then, in the addition to a-invariants a2,a6,a8, there are 4 b-invariants: b3,b4,b6⁒a8+b7⁒a6,b9, and a class is determined by fixing their values. Hence in this case classes are parallel 5-dimensional affine planes in the 9-dimensional space spanned by b1,b2,…,b9.

3.2 The number of classes of given dimension.

In Section 2.2, we proved a compact formula for the number of Gn-orbits of a given dimension. Unfortunately, no formula of this quality exists for the classes. Below, we restrict ourselves to an inductive procedure of calculating the number of classes of a given dimension. We again assume that 𝕂=𝔽q. An element of 𝔀n is characterized by 2⁒nβˆ’1 elements of 𝔽q:a1,…,an,b1,…,bnβˆ’1. The string a1,…,an is fixed within any class. We will usually label such a string by a sequence of heavy dots βˆ™ and light dots ∘: heavy dots correspond to non-zero ai and light dots correspond to zero ai. We will denote the number of k-dimensional Gn-classes by dn⁒(k). More specifically, dnβˆ™β’(k) and dn∘⁒(k) will denote the number of k-dimensional Gn-classes with, respectively, a1β‰ 0 and a1=0. (Thus, dn⁒(k)=dnβˆ™β’(k)+dn∘⁒(k)).

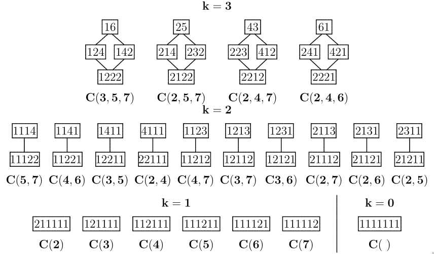
For a given n, there are 2n strings of heavy and light dots. For each such string we denote the number of heavy dots by m and the number of invariants, calculated as in Section 3.1, by β„“. Then this string contributes (qβˆ’1)m⁒qβ„“ classes into dnβˆ™β’(nβˆ’1βˆ’β„“) or dn∘⁒(nβˆ’1βˆ’β„“), if, respectively, the first dot is heavy or light. For example, the string

(4) βˆ˜βˆ™βˆ˜βˆ˜βˆ™βˆ˜βˆ™βˆ˜βˆ˜βˆ˜:n=10,m=3,β„“=3

contributes (qβˆ’1)3⁒q3 classes into d10∘⁒(6).

How to find dn⁒(k) or, separately, dnβˆ™β’(k) and dn∘⁒(k)? There is a β€œdirect” way of doing that: to consider all 2nβˆ’1 strings of heavy and light dots, repeat for each of them the computations similar to those in (4) and calculate the appropriate sums. Let us do this, for example, for n=3:

[Uncaptioned image]

From this:

d3∘⁒(0)=q2d3βˆ™β’(0)=0d3⁒(0)=q2d3∘⁒(1)=q⁒(qβˆ’1)d3βˆ™β’(1)=q⁒(qβˆ’1)+q⁒(qβˆ’1)2=q2⁒(qβˆ’1)d3⁒(1)=q⁒(q2βˆ’1)d3∘⁒(2)=(qβˆ’1)+(qβˆ’1)2=q⁒(qβˆ’1)d3βˆ™β’(2)=(qβˆ’1)2+(qβˆ’1)3=q⁒(qβˆ’1)2d3⁒(2)=q2⁒(qβˆ’1)

However, calculation like this for large n is hardly possible. Below, we deduce an expression of dn in terms of dnβˆ’1 and dnβˆ’2, which can be used for calculating dn step by step.

Theorem 3.1

For nβ‰₯3,

dn∘⁒(k)=dnβˆ’1βˆ™β’(kβˆ’1)+dnβˆ’1∘⁒(k)dnβˆ™β’(k)=dnβˆ’1βˆ™β’(kβˆ’1)+dnβˆ’2∘⁒(kβˆ’1)+dnβˆ’2βˆ™β’(kβˆ’1)=dnβˆ’1βˆ™β’(kβˆ’1)+dnβˆ’2⁒(kβˆ’1)

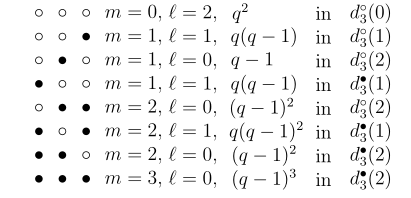
ProofΒ  Let us look how n,m, and β„“ in (4) change, when we cut off one or two first dots from the string of heavy and light dots.

[Uncaptioned image]

Since every string of heavy and light dots with nβ‰₯4 begins with one of the combinations in the first column of the table above, the statement of Theorem follows.

The relations in Theorem 3.1 determine the induction step. The base of induction is provided by computations for n=3 given above (and still easier computations for n=1 and 2).

3.3 M-classes.

This section, like Section 2.3 above, will not be used before Section 5.

3.3.1. Sparse sequences and the definition of M-classes.

A subset {i1,i2,…,ik} of {1,2,…,n} is called a sparse sequence, if isβˆ’isβˆ’1>1 for every s,1<s≀k. Let us count the number of sparse sequences.

Proposition 3.2

For a given n, the number of sparse sequences is the Fibonacci number 𝐅n+2.

Examples. For n=1, there are 2=𝐅3 sparse sequences: βˆ…,{1}.

For n=2, there are 3=𝐅4 sparse sequences: βˆ…,{1},{2}.

For n=3, there are 5=𝐅5 sparse sequences: βˆ…,{1},{2},{3},{1,3}.

For n=4, there are 8=𝐅6 sparse sequences: βˆ…,{1},{2},{3},{4},{1,3},{1,4},{2,4}.

Proof. For n=1,2 see above. For nβ‰₯3, let us consider a sparse sequence in 1,2,…,n. If the last term of this sequence is not n, then it is also a sparse sequence in 1,2,…,nβˆ’1. If the last term is n, then the sequence, being sparse, does not contain nβˆ’1. So, if we remove the term n, we obtain a sparse sequence in 1,2,…,nβˆ’2. Thus the number of sparse sequences in 1,2,…,n is the sum of the numbers of sparse sequences in 1,2,…,nβˆ’1 and sparse sequences in 1,2,…,nβˆ’2.

Definition. A class is called an M-class, if the subscripts i1,i2,…⁒ik of a-invariants ai1,ai2,…,aik form a sparse sequence.

3.3.2. Containers

For a sparse sequence I={i1,i2,…,ik}βŠ‚{1,2,…,n}, we denote by C⁒(I) the subset of Gn, which consists of all matrices g⁒(a1,…,an;b1,…,bnβˆ’1) with aiβ‰ 0⟺i∈I. Thus, C⁒(I) is a union of M-classes. Containers play for M-classes a role similar to the role which ordered partitions play for orbits: they place together M-classes with some important properties being the same. First of all, the M-classes from the same container have the same stabilizer.

The formulas for the multiplication and inversion in the group Gn imply the following formula for the conjugation:

g⁒(a1β€²,…,anβ€²;b1β€²,…,bnβˆ’1β€²)βˆ’1⁒g⁒(a1,…,an;b1,…,bnβˆ’1)⁒g⁒(a1β€²,…,anβ€²;b1β€²,…,bnβˆ’1β€²)=g⁒(a1,…,an;b1+a1⁒a2β€²βˆ’a2⁒a1β€²,…,bnβˆ’1+anβˆ’1⁒anβ€²βˆ’an⁒anβˆ’1β€²)

Hence g⁒(a1β€²,…,anβ€²;b1β€²,…,bnβˆ’1β€²) belongs to the stabilizer of g⁒(a1,…,an;b1,…,bnβˆ’1) if and only if

a1⁒a2β€²βˆ’a2⁒a1β€²=β‹―=anβˆ’1⁒anβ€²βˆ’an⁒anβˆ’1β€²=0,

which means precisely that, for every i∈I, aiβˆ’1β€²=ai+1β€²=0 (here we use the fact that I is sparse and mean that a0β€²=an+1β€²=0). This shows that all elements of C⁒(I) have the same stabilizer, in other words, all M-classes within C⁒(I) have the same stabilizer, and this stabilizer Stab(I) is a normal subgroup of Gn. For a more convenient description of Stab(I), we need new notation. Let Iβˆ’ be the set of those i∈{1,…,n}, for which iβˆ’1 or i+1 is contained in I, and let I+ be the complement of Iβˆ’ in {1,…,n}. Then Stab(I) is the set of all g⁒(a1,…,an;b1,…,bnβˆ’1) with ai=0, if i∈Iβˆ’, that is, ai may be different from zero only if i∈I+. (Notice that I+ may be not sparse and that IβŠ†I+.)

The group Stab(I) may be non-commutative. Its commutator subgroup consists of all g⁒(a1,…,an;b1,…,bnβˆ’1) with all a’s and b’s being zero, with a possible exception of those bj, for which j,j+1∈I+.

Our description of the container C⁒(I), classes c∈C⁒(I), and the stabilizer Stab(I) give rise to direct computations of cardinalities of several related sets.

Proposition 3.3

(i) The number of containers is 𝐅n+2.

(ii) |Stab(I)|=qnβˆ’1+|I+|.

(iii) For a class c∈C⁒(I), |c|=q|Iβˆ’|.

(iv) For a class c∈C⁒(I), the number of b-invariants is |I+|+1.

(v) The number of classes in C⁒(I) is (qβˆ’1)|I|⁒q|I+|βˆ’1.

Proof. Part (i) is the same as Proposition 3.2.

Part (ii) follows from our description of Stab(I): an element of this group is determined by ai1,…,aik,b1,…,bnβˆ’1βˆˆπ”½q.

Part (iii) follows from Part (ii), since for c∈C⁒(I), |c|=|Gn||Stab(i)|=q2⁒nβˆ’1|qnβˆ’1+|⁒I|+1=qnβˆ’|I+|=q|Iβˆ’|.

|c| can be calculated also directly form the description of c: the entries ai are fixed within c, and the entries bj belong to a subspace of the b-space, whose codimension is the number |bβˆ’inv.| of b-invariants. Hence, |c|=qnβˆ’1βˆ’|bβˆ’inv.|. Compare the two computations of |c|: q|Iβˆ’|=qnβˆ’1βˆ’|bβˆ’inv.|β‡’|Iβˆ’|=nβˆ’1βˆ’|bβˆ’inv.|β‡’|bβˆ’inv.|=nβˆ’1βˆ’|Iβˆ’|=|I+|βˆ’1., as stated in Part (iii).

Part (iv) follows from Part(iii): a class in C⁒(I) is determined by |I| (non-zero) a-invariants and |I+|βˆ’1 b-invariants (which are allowed to be zero).

4 Representations.

The orbit method, as it is described in [1], provides a bijective correspondence between coadjoint orbits and unireps. Our goal is to show that it works for the group Gn=T⁒D⁒(n,𝔽q).

We begin with the observation that the construction of a complex representation corresponding to a given orbit works for this group. We will provide an explicit construction of a representation of Gn corresponding to an orbit and an explicit calculation of the character of this representation.

Then we will show that all the representations constructed are irreducible, and the set of these irreducible representations is complete in the sense that any irreducible complex representation of Gn is equivalent to precisely one of the representations constructed.

Our construction will involve a fixed non-trivial homomorphism 𝐞:𝔽qβ†’β„‚Γ— of the additive group of the field 𝔽q into the multiplicative group β„‚Γ—. Notice that the image of this homomorphism is contained in the set of degree p roots of 1. Notice also that this homomorphism is not unique: there are qβˆ’1 such homomorphisms labeled by non-zero elements of 𝔽q: the homomorphism 𝐞α:𝔽q→ℂ×⁒(Ξ±βˆˆπ”½qβˆ’0) acts by the formula 𝐞α⁒(ΞΎ)=𝐞⁒(α⁒ξ).

4.1 The construction of representations by the orbit method.

The dimension of a representation corresponding to a 2⁒k-dimensional orbit is qk. The construction consists of three steps. Let Ω be an orbit.

First step. We choose a representative F∈Ω, compute the stabilizer StabFβŠ‚Gn, and choose a polarization subgroup HβŠ‚Gn corresponding to some π”₯βŠ‚π”€n such that

HβŠƒStabF,dimH=dimGn+dimStabF2.F|[π”₯,h]=0.

The last property shows that the formula ρ⁒(h)=𝐞⁒(tr(F⁒h)) defines a 1-dimensional unitary representation of the group H.

Second step. Consider the right homogeneous Gn-space T=H\Gn and the natural projection p:Gnβ†’T,p⁒(g)=H⁒g. If we choose for every class t∈T a representative s⁒(t)∈Gn, then every element g∈Gn can be uniquely written in the form g=h⁒s⁒(t) where t∈T,h∈H. Clearly, here t is the class H⁒g∈T and h=g⁒s⁒(t)βˆ’1. Thus the function s:Tβ†’Gn allows to identify Gn with the direct product HΓ—T: an element g∈Gn corresponds to the pair (g⁒s⁒(t)βˆ’1,t).

Third step. Introduce the so-called Master Equation:

s⁒(t)⁒g=h′⁒s⁒(tβ€²)⁒for⁒given⁒t∈T,g∈Gn⁒and⁒unknown⁒tβ€²βˆˆT,hβ€²βˆˆH.

We have seen above that this equation has a unique solution, tβ€²=p⁒(s⁒(t)⁒g),hβ€²=s⁒(t)⁒g⁒s⁒(tβ€²)βˆ’1.

Now we can describe the representation πΩ of Gn. The space of this representation is the space of complex-valued functions on T; since T has dimension k over 𝔽q, the (complex) dimension of the space of function is qk. The representation is described by the formula

(πΩ⁒(g)⁒f)⁒(t)=ρ⁒(hβ€²)⁒f⁒(tβ€²).

4.2 Basic representations and their characters.

We begin with the representations of Gn corresponding (in the sense of Section 4.1) to the basic orbits (Section 2.4). We begin with the (simpler) case of even n.

4.2.1. The case of even n.

In this case, basic orbits are labeled by sets (y1,…,ynβˆ’1) of non-zero elements of the field 𝔽q. Values of x1,…,xn within every orbit are arbitrary, and for a representative F of the orbit corresponding to (y1,…,ynβˆ’1) we take the matrix

[Uncaptioned image]

(Thus the stabilizer StabF of F does not depend on y1,…,ynβˆ’1.)

For H, we can take the group consisting of matrices h shown below (the condition F|[π”₯,h]=0 holds, because the group H is commutative). The space T=H\Gn has dimension n2; the elements of this space are represented by matrices s⁒(t)=s⁒(t2,t4,…,tnβˆ’2,tn) also shown below.

[Uncaptioned image]

The Master equation s⁒(t)⁒g=h′⁒s⁒(tβ€²) becomes

[Uncaptioned image]

(the products of matrices are β€œtruncated”: we annihilate all the entries above the Ξ²-diagonal). We equate the entries of the two product matrices and obtain the equalities:

Ξ±1β€²=Ξ±1,Ξ±3β€²=Ξ±3,.…,Ξ±nβˆ’1β€²=Ξ±nβˆ’1;t2β€²=t2+Ξ±2,t4β€²=t4+Ξ±4,…,tnβ€²=tn+Ξ±n;Ξ²1β€²=Ξ²1βˆ’t2′⁒α1,Ξ²2β€²=Ξ²2+t2⁒α3,…,Ξ²nβˆ’2β€²=Ξ²nβˆ’2+tnβˆ’2⁒αnβˆ’2,Ξ²nβˆ’1β€²=Ξ²nβˆ’1βˆ’tn′⁒αnβˆ’1

Now we have a description of the representation πΩ of Gn corresponding to the basic orbit Ξ© corresponding, in turn, to the set (y1,…,ynβˆ’1) of non-zero elements of 𝔽q. The space of this representation is the qn/2-dimensional space ℱ⁒(t2,t4,…,tnβˆ’2,tn) of complex-valued functions f⁒(t2,t4,…,tnβˆ’2,tn), and the representation is defined by the formula

(πΩ⁒(g)⁒f)⁒(t2,t4,…,tn)=𝐞⁒(tr(F⁒hβ€²))⁒f⁒(t2β€²,t4β€²,…,tnβ€²)=𝐞⁒(y1⁒β1β€²+β‹―+ynβˆ’1⁒βnβˆ’1β€²)⁒f⁒(t2+Ξ±2,t4+Ξ±4,…,tn+Ξ±n).

Let us calculate the character of this representation. The space ℱ⁒(t2,t4,…,tn) has a natural basis composed of β€œΞ΄-functions”: for a fixed set t2,t4,…,tn, the Ξ΄-function takes the value 1 on this set of variables and the value 0 on other sets of variables. The entries of the matrix of the operator πΩ⁒(g) with respect to this basis correspond to pairs (t2,t4,…,tn),(t2β€²,t4β€²,…,tnβ€²), and this entry is zero, if (t2β€²,…,tnβ€²)β‰ (t2+Ξ±2,…,tn+Ξ±n). Thus, if at least one of Ξ±2,Ξ±4,…,Ξ±n is not zero, the matrix of πΩ⁒(g) has no non-zero diagonal entries, and the trace of this matrix, that is, the value of the character, is zero.

Suppose that Ξ±2=Ξ±4=β‹―=Ξ±n=0. Then the diagonal entry of the matrix corresponding to (t2,…,tn) is

𝐞(y1(Ξ²1βˆ’(t2+Ξ±2)Ξ±1)+y2(Ξ²2+t2Ξ±3)+y3(Ξ²3βˆ’(t4+Ξ±4)Ξ±3)+β‹―+ynβˆ’1(Ξ²nβˆ’1βˆ’(t+Ξ±n)Ξ±nβˆ’1)=𝐞(y1(Ξ²1βˆ’t2Ξ±1)+y2(Ξ²2+t2Ξ±3)+y3(Ξ²3βˆ’t4Ξ±3)+β‹―+ynβˆ’1(Ξ²nβˆ’1βˆ’tnΞ±nβˆ’1)=𝐞⁒(y1⁒β1)β’β€¦β’πžβ’(ynβˆ’1⁒βnβˆ’1)⁒𝐞⁒(t2⁒(y2⁒α3βˆ’y1⁒α1))β’β€¦β’πžβ’(tnβˆ’2⁒(ynβˆ’2⁒αnβˆ’1βˆ’ynβˆ’3⁒αnβˆ’3))⁒𝐞⁒(tn⁒(βˆ’ynβˆ’1⁒αnβˆ’1)).

The sum of all these diagonal entries is

𝐞⁒(y1⁒β1)β’β€¦β’πžβ’(ynβˆ’1⁒βnβˆ’1)β’βˆ‘t2βˆˆπ”½q𝐞⁒(t2⁒(y2⁒α3βˆ’y1⁒α1))β’β€¦βˆ‘tnβˆ’2βˆˆπ”½q𝐞⁒(tnβˆ’2⁒(ynβˆ’2⁒αnβˆ’1βˆ’ynβˆ’3⁒αnβˆ’3))β’βˆ‘tnβˆˆπ”½q𝐞⁒(tn⁒(βˆ’ynβˆ’1⁒αnβˆ’1))

Finally, notice that for a Ξ³βˆˆπ”½q,

βˆ‘tβˆˆπ”½q𝐞⁒(t⁒γ)={q,if⁒γ=00,if⁒γ≠0

But y2⁒α3βˆ’y1⁒α1=β‹―=ynβˆ’2⁒αnβˆ’1βˆ’ynβˆ’3⁒αnβˆ’3=βˆ’ynβˆ’1⁒αnβˆ’1=0, only if Ξ±1=Ξ±3=β‹―=Ξ±nβˆ’3=Ξ±nβˆ’1=0. We arrive at the final result: the value of the character of the representation πΩ on the matrix

[Uncaptioned image]

is qn/2⁒𝐞⁒(y1⁒β1)β’β€¦β’πžβ’(ynβˆ’1⁒βnβˆ’1), if Ξ±1=Ξ±2=β‹―=Ξ±n=0, and is zero otherwise.

4.2.2. The case of odd n.

In this case, a basic orbit Ξ© is determined by a set (y1,…,ynβˆ’1) of non-zero elements of the field 𝔽q and a value I of the invariant

(6) x1⁒y2⁒y4⁒…⁒ynβˆ’1+y1⁒x3⁒y4⁒y6⁒…⁒ynβˆ’1+y1⁒y3⁒x5⁒y6⁒y8⁒…⁒ynβˆ’1+…⋯+y1⁒y3⁒…⁒ynβˆ’4⁒xnβˆ’2⁒ynβˆ’1+y1⁒y3⁒…⁒ynβˆ’2⁒xn

For a representative F of Ξ© we can take the matrix

[Uncaptioned image]

The stabilizer StabF of F consists of matrices

[Uncaptioned image]

with Ξ±2=Ξ±4=β‹―=Ξ±nβˆ’3=Ξ±nβˆ’1=0 and Ξ±1,Ξ±3,…,Ξ±nβˆ’2,Ξ±n satisfying the system of equations Ξ±1⁒y1=Ξ±3⁒y2,Ξ±3⁒y3=Ξ±5⁒y4,…,Ξ±nβˆ’4⁒ynβˆ’4=Ξ±nβˆ’2⁒ynβˆ’3,Ξ±nβˆ’2⁒ynβˆ’2=Ξ±n⁒ynβˆ’1. In other words,

(7) Ξ±1=ΞΊβ‹…y2⁒y4⁒…⁒ynβˆ’3⁒ynβˆ’1Ξ±3=ΞΊβ‹…y1⁒y4⁒…⁒ynβˆ’3⁒ynβˆ’1…⁒……⁒…⁒…⁒…⁒…⁒˙⁒…⁒…αnβˆ’2=ΞΊβ‹…y1⁒y3⁒…⁒ynβˆ’4⁒ynβˆ’1Ξ±n=ΞΊβ‹…y1⁒y3⁒…⁒ynβˆ’4⁒ynβˆ’2

for some ΞΊβˆˆπ”½q. For H, we can take the group of matrices shown on the left below (no relations between Ξ±1,Ξ±3,…,Ξ±nβˆ’1; again, the condition F|[π”₯,h]=0 holds, because the group H is commutative). The space T has dimension nβˆ’12 and the representatives s⁒(t)=s⁒(t2,t4,…,tnβˆ’3,tnβˆ’1) of elements of T are shown below on the right.

[Uncaptioned image]

The Master equation has the same appearance as before (see (5)), but the matrices now have even, not odd, order. For the entries, we have the following equalities:

Ξ±1β€²=Ξ±1,Ξ±3β€²=Ξ±3,.…,Ξ±nβˆ’1β€²=Ξ±nβˆ’1;t2β€²=t2+Ξ±2,t4β€²=t4+Ξ±4,…,tnβˆ’1β€²=tnβˆ’1+Ξ±nβˆ’1;Ξ²1β€²=Ξ²1βˆ’t2′⁒α1,Ξ²2β€²=Ξ²2+t2⁒α3,…,Ξ²nβˆ’2β€²=Ξ²nβˆ’2βˆ’tnβˆ’1′⁒αnβˆ’2β€²,Ξ²nβˆ’1β€²=Ξ²nβˆ’1+tnβˆ’1⁒αn.

Now we have a description of the representation πΩ of Gn corresponding to the basic orbit Ξ© corresponding, in turn, to the set (y1,…,ynβˆ’1) of non-zero elements of 𝔽q and the value Iβˆˆπ”½q of the invariant (6). The space of this representation is the q(nβˆ’1)/2-dimensional space ℱ⁒(t2,…,tnβˆ’1) of complex-valued functions f⁒(t2,…,tnβˆ’1), and the representation is defined by the formula

(πΩ⁒(g)⁒f)⁒(t2,…,tnβˆ’1)=𝐞⁒(tr(F⁒hβ€²))⁒f⁒(t2β€²,…,tnβˆ’1β€²)=𝐞⁒(x1⁒α1+y1⁒β1β€²+β‹―+ynβˆ’1⁒βnβˆ’1β€²)⁒f⁒(t2+Ξ±2,…,tnβˆ’1+Ξ±nβˆ’1).

Let us calculate the character of this representation. The space ℱ⁒(t2,…,tnβˆ’1) again has a basis of Ξ΄-functions. The entries of the matrix of the operator πΩ⁒(g) with respect to this basis correspond to pairs (t2,…,tnβˆ’2),(t2β€²,…,tnβˆ’2β€²), and this entry is zero, if (t2,…,tnβˆ’1)β‰ (t2+Ξ±2,…,tnβˆ’1+Ξ±nβˆ’1). Thus, if at least one of Ξ±2,Ξ±4,…,Ξ±nβˆ’1 is not zero, the matrix of πΩ⁒(g) has no no-zero diagonal entries, and the trace of this matrix, that is, the value of the character, is zero.

Suppose that Ξ±2=Ξ±4=β‹―=Ξ±n=0. Then the diagonal entry of the matrix corresponding to (t2,…,tn) is

𝐞(x1Ξ±1)𝐞(y1(Ξ²1βˆ’t2Ξ±1)+y2(Ξ²2+t2Ξ±3)+…⋯+ynβˆ’2⁒(Ξ²nβˆ’2βˆ’tnβˆ’1⁒αnβˆ’2)+ynβˆ’1⁒(Ξ²nβˆ’1+tnβˆ’1⁒αn)

First of all,

𝐞(y1(Ξ²1βˆ’t2Ξ±1)+y2(Ξ²2+t2Ξ±3)+β‹―+ynβˆ’2(Ξ²nβˆ’2βˆ’tnβˆ’2Ξ±nβˆ’3)+ynβˆ’2(Ξ²nβˆ’2+tnβˆ’2Ξ±nβˆ’1)=𝐞(y1Ξ²1)β€¦πž(ynβˆ’1Ξ²nβˆ’1)β‹…πž(t2(βˆ’y1Ξ±1+y2Ξ±3)β€¦πž(tnβˆ’1(βˆ’ynβˆ’2Ξ±nβˆ’2+ynβˆ’1Ξ±n)

The sum of all these diagonal entries is

𝐞(y1Ξ²1)β€¦πž(ynβˆ’1Ξ²nβˆ’1)βˆ‘t2βˆˆπ”½q𝐞(t2(y2Ξ±3βˆ’y1Ξ±1))β€¦βˆ‘tnβˆ’1βˆˆπ”½q𝐞(tnβˆ’1(βˆ’ynβˆ’2Ξ±nβˆ’2+ynβˆ’1Ξ±n)

Each of the sums in the last formula equals q, if y2⁒α3βˆ’y1⁒α1=β‹―=ynβˆ’1⁒αnβˆ’ynβˆ’2⁒αnβˆ’2, that is, if the equalities (7) hold, and at least one of them is zero otherwise.

It remains to find 𝐞⁒(x1⁒α1) in the case, when (7) holds. But in this case

x1⁒α1=Iy2⁒…⁒ynβˆ’1⋅κ⁒y2⁒…⁒ynβˆ’1=κ⁒I,so⁒𝐞⁒(x1⁒α1)=𝐞⁒(κ⁒I).

We arrive at the final result: the value of the character of the representation πΩ on the matrix g⁒(Ξ±1,…,Ξ±n;Ξ²1,…,Ξ²nβˆ’1) is qnβˆ’12⁒𝐞⁒(κ⁒I)⁒𝐞⁒(y1⁒β1)β’β€¦β’πžβ’(ynβˆ’1⁒βnβˆ’1), if Ξ±2=Ξ±4=β‹―=Ξ±nβˆ’1=0 and the formulas (7) hold for Ξ±1,Ξ±3,…,Ξ±n. In all other cases, the value of the character is zero.

4.3 Representations corresponding to all orbits.

We observed in Section 2.4 that all orbits are products of basic orbits. More precisely: if an orbit Ξ© of Gn corresponds to an ordered partition n=j0+j1+β‹―+jk, then this orbit is the products of some basic orbits Ξ©0,Ξ©1,…,Ξ©k of the groups Gj0,Gj1,…,Gjk with the action of Gn determined by the projection (3). But in this case the representation πΩ of Gn determined by these orbits is the tensor product πΩ0βŠ—Ο€Ξ©1βŠ—β‹―βŠ—Ο€Ξ©k of the basic representations of the groups Gj0,Gj1,…,Gjk corresponding to the orbits Ξ©0,Ξ©1,…,Ξ©k. And the character of the representation πΩ is the product of characters of the representations Gj0,Gj1,…,Gjk, which were calculated in Section 4.2.

Let us prove now that the representations constructed are all irreducible, and any irreducible representation is equivalent to one of them.

Since all these representations have different characters, they are not equivalent to each other. Let us prove now that

4.3.1. They are all irreducible.

Let us begin with basic representations (Section 4.2). The space of each of these representation is the space of complex-valued functions f⁒(t2,t4,…,tn) if n is even and f⁒(t2,t4,…,tnβˆ’1), if n is odd; the variables ti in both cases are elements of the field 𝔽q. For a basis of this space we can take the set of β€œΞ΄-functions;” each of them takes value 1 for some fixed set of variable ti and the value 0 on every different set of variables. It is clear that if f is a Ξ΄-function concentrated at (t2,t4,t6,…), and g=g⁒(Ξ±1,…,Ξ±n;Ξ²1,…,Ξ²nβˆ’1), then, πΩ⁒(g)⁒f is the Ξ΄-function concentrated at (t2+Ξ±2,t4+Ξ±4,t6+Ξ±6,…) times a non-zero coefficient. This means that if a space of a subrepresentation of our representation contains a Ξ΄-function, then this space contains a whole basis, that is, this subrepresentation coincides with the whole representation.

What if the space of a subrepresentation contains no Ξ΄-functions? Take a non-zero element f of this space, which is a linear combination of the minimal possible number m>1 of Ξ΄-functions (that is, f takes non-zero values at m points). We can apply to it an operator πΩ⁒(g), where g is a matrix with Ξ±2=Ξ±4=Ξ±6=β‹―=0, Then the result will be a linear combination of the same Ξ΄-function as f (that is, the function πΩ(g))f takes non-zero values at the same points as f). More precisely, the value at (t2,t4,t6,…) is multiplied by

𝐞⁒(y1⁒(Ξ²1βˆ’t2⁒α1)+y2⁒(Ξ²2+t2⁒α3)+y3⁒(Ξ²3βˆ’t4⁒α3)+y4⁒(Ξ²4+t4⁒α5)+…)

(tiβ€²=ti, since Ξ±2=Ξ±4=β‹―=0) times 𝐞⁒(x1⁒α1), if n is even.

Suppose that f takes non-zero values at the points (t2,t4,t6,…)β‰ (t2β€²,t4,t6β€²,…). If t2β‰ t2β€², then we apply to this f the matrix g with Ξ±1β‰ 0,Ξ±2=Ξ±3=β‹―=0. The values f⁒(t2,t4,t6,…),f⁒(t2β€²,t4β€²,t6β€²,…) will be multiplied by different numbers. If t2β€²=t2, but t4β€²β‰ t4, then we apply g with Ξ±3β‰ 0 and all other α’s are zeroes – again f⁒(t2,t4,t6,…),f⁒(t2β€²,t4β€²,t6β€²,…) will be multiplied by different numbers. And so on. Thus πΩ⁒(g)⁒f⁒(t2,t4,t6,…)=c⁒f⁒(t2,t4,t6,…),πΩ⁒(g)⁒f⁒(t2β€²,t4β€²,t6β€²,…)=c′⁒f⁒(t2β€²,t4β€²,t6β€²,…), and cβ€²β‰ c. Let f~=c⁒fβˆ’Ο€Ξ©β’(g)⁒f. The function f~ is not zero, belongs to the space of the subrepresentation, and takes non-zero values at less than m points (since f~⁒(t2,t4,t6,…)=0). This contradicts the minimality of m. Thus, the space of the subrepresentation contains a Ξ΄-function, hence the subrepresentation coincides with the whole representation, hence this whole representation is irreducible. This completes the proof of irreducibility of all basic representations.

The construction of a general representation is described in Section 2.4. We fix an ordered partition

n=j1+j2+β‹―+jk

of n and consider the projection (3)

Gn→Gj1×Gj2×⋯×Gjk

(see Section 2.4). Then we fix basic orbits Ξ©1,Ξ©2,…,Ξ©k of the groups Gj1,Gj2,…,Gjk and corresponding representations πΩ1,πΩ2,…,πΩ1 of these groups. The space Vi of the representation πΩi is the space of complex-valued functions of [ji2] variables from 𝔽q. The tensor product

V=V1βŠ—V2βŠ—β‹―βŠ—Vk

becomes the space of representation πΩ of Gj1Γ—Gj2Γ—β‹―Γ—Gjk, and the projection (3) turns it into a representation of Gn; this is a construction of a general representation of Gn. Let us prove that this representation is irreducible.

The basis of the space Vi consists of Ξ΄-functions. Hence the basis of the space V consists of tensor productsf1βŠ—f2βŠ—β‹―βŠ—fk,where fi is a delta-function from Vi. Take a non-zero subrepresentation of this representation. We want to prove that the space W of this subrepresentation contains a vector from the basis. Take a non-zero vector f of this space. It is a linear combination of the vectors of the basis. Suppose that this linear combination involves more than 1 basic vectors, say, it involves different f1βŠ—f2βŠ—β‹―βŠ—fk and f1β€²βŠ—f2β€²βŠ—β‹―βŠ—fkβ€² (where all fi,fiβ€² are Ξ΄-functions). Then fiβ€²β‰ fi for some i. We have seen before that there is some gi∈Gji, which takes every Ξ΄-function into itself times a non-zero coefficient and, in particular, πΩi⁒(gi)⁒fi=c⁒fi,πΩi⁒(gi)⁒fiβ€²=c′⁒fi,cβ€²β‰ c. Let g=(1,…,1,gi,1⁒…,1)∈Gj1Γ—Gj2Γ—β‹―Γ—Gjk. Then πΩ⁒(g)⁒fβˆ’c⁒f∈W is a linear combination of the same basic vectors as f except f1βŠ—f2βŠ—β‹―βŠ—fk, thus it involves one less basic vectors than f. Repeating this operation, we arrive at a basic vector, which is contained in W. Appropriate elements of Gj1Γ—Gj2Γ—β‹―Γ—Gjk take this basic vector into all other basic vectors. Thus, W=V, and our representation is irreducible.

4.3.2. The list of irreducible representation is complete

To prove this, we need to check that the sum of the squares of dimension or the representations constructed is equal to the number of elements of the group Gn, that is, to q2⁒nβˆ’3. The dimension of the representation corresponding to a 2⁒k-dimensional orbit is qk, the number of 2⁒k-dimensional orbits was calculated in Section 2.2 (Theorem 2.1). Thus, we need to prove the following equality:

βˆ‘kβ‰₯0(qnβˆ’kβˆ’1⁒(qβˆ’1)k⁒((nβˆ’kβˆ’1k)⁒q+(nβˆ’kβˆ’1kβˆ’1)))β‹…q2⁒k=q2⁒nβˆ’1

or

(8) βˆ‘kβ‰₯0qn+kβˆ’1⁒(qβˆ’1)k⁒((nβˆ’kβˆ’1k)⁒q+(nβˆ’kβˆ’1kβˆ’1))=q2⁒nβˆ’1.

Put

Pi=βˆ‘kβ‰₯0qi+k⁒(qβˆ’1)k⁒(iβˆ’kβˆ’1k)

(In particular, P1=q,P2=q2). Then the left hand side of the equality (8) is the sum of Pn and

βˆ‘kβ‰₯1qn+kβˆ’1⁒(qβˆ’1)k⁒(nβˆ’kβˆ’1kβˆ’1)=βˆ‘kβ‰₯0qn+k⁒(qβˆ’1)k+1⁒(nβˆ’kβˆ’2k)=q⁒(qβˆ’1)⁒Pnβˆ’1.

On the other hand,

Pi=βˆ‘kβ‰₯0qi+k⁒(qβˆ’1)k⁒(iβˆ’kβˆ’1k)=βˆ‘kβ‰₯0qi+k⁒(qβˆ’1)k⁒(iβˆ’kβˆ’2k)+βˆ‘kβ‰₯1qi+k⁒(qβˆ’1)k⁒(iβˆ’kβˆ’2kβˆ’1)
=βˆ‘kβ‰₯0qi+k⁒(qβˆ’1)k⁒(iβˆ’kβˆ’2k)+βˆ‘kβ‰₯0qi+k+1⁒(qβˆ’1)k+1⁒(iβˆ’kβˆ’3k)=q⁒Piβˆ’1+q3⁒(qβˆ’1)⁒Piβˆ’2.

From this:

Pn+q⁒(qβˆ’1)⁒Pnβˆ’1=(q⁒(qβˆ’1)+q)⁒Pnβˆ’1+q3⁒(qβˆ’1)⁒Pnβˆ’2=
q2⁒Pnβˆ’1+q3⁒(qβˆ’1)⁒Pnβˆ’2=(q3⁒(qβˆ’1)+q3)⁒Pnβˆ’2+q5⁒(qβˆ’1)⁒Pnβˆ’3=
q4⁒Pnβˆ’2+q5⁒(qβˆ’1)⁒Pnβˆ’3=(q5⁒(qβˆ’1)+q5)⁒Pnβˆ’3+q7⁒(qβˆ’1)⁒Pnβˆ’4=
q6⁒Pnβˆ’3+q7⁒(qβˆ’1)⁒Pnβˆ’4=β‹―=q2⁒i⁒Pnβˆ’i+q2⁒i+1⁒(qβˆ’1)⁒Pnβˆ’iβˆ’1=β‹―=
q2⁒nβˆ’4⁒P2+q2⁒nβˆ’3⁒(qβˆ’1)⁒P1=q2⁒nβˆ’2+q2⁒nβˆ’2⁒(qβˆ’1)=q2⁒nβˆ’1,

as was stated.

5 Models

5.1 Introduction

For a finite group G, a model is a finite dimensional representation, whose decomposition into irreducible representations contains an irreducible representation of every equivalence class precisely once. The formal definition of a model (as well as the term model) was first introduced by I.N.Bernstein, I.M. Gelfand and S. I. Gelfand in their article [2]; its significance for the representation theory was demonstrated later by I.M. Gelfand and A.V. Zelevinsky [3].

If we have a classification of irreducible representations of G (which is the case for G=Gn), then there is a ready construction of a model. What we are interested in here is a β€œgeometric” construction of a model for the group Gn, the meaning of which we describe below. This description does not use any specific properties of the group Gn, so we are speaking of an arbitrary group G.

We fix an ad-invariant (that is, consisting of whole classes) set MβŠ‚G and consider the union M^=β‹ƒΞ³βˆˆMβ„‚Ξ³ of 1-dimensional complex vector spaces β„‚Ξ³β‰…β„‚. Then we fix a lifting of the adjoint action of G in M to the action in M^: for a g∈G, the transformation g^:M^β†’M^ maps isomorphically β„‚Ξ³ onto β„‚g⁒γ⁒gβˆ’1. The space of the representation of G, which is the goal of our construction is the space β„³ of β€œtwisted functions” f:Mβ†’M^,f⁒(Ξ³)βˆˆβ„‚Ξ³. The action of G in β„³ is defined by formula g⁒f⁒(Ξ³)=g^⁒f⁒(gβˆ’1⁒γ⁒g). Our goal is to choose an MβŠ‚Gn and the lifted action of Gn in M^ in such a way that the representation of Gn in β„³ be a model for Gn.

Return to the general case. There are two ways of understanding construction above: algebraic and geometric.

The algebraic way, which we, actually, follow below, is the following. For every conjugacy class cβŠ‚M, choose a representative Ξ³c∈c and consider the stabilizer Stab(c)={g∈G|g⁒γc=Ξ³c⁒g} of Ξ³c. Then for g∈Stab(c),g^ maps β„‚Ξ³c into β„‚Ξ³c, forming a 1-dimensional representation ρc of Stab(c). For g∈Stab(c), the map β„‚Ξ³c⁒→g^β„‚Ξ³c is the multiplication by a non-zero complex number Ο‡g, and the homomorphism Ο‡c:Stab(c)β†’β„‚Γ— is the character of the representation ρc. These Ο‡c determine (up to an isomorphism) the whole action of G in M^, and the representation β„³ becomes the direct sum ⨁cβŠ‚MIndStab(c)Gρc of induced representations.

The geometric way fits better the topological case. The union M^=β‹ƒΞ³βˆˆMβ„‚Ξ³ may be regarded as a line bundle over M, and the action of G in M^ is a fiberwise lifting of the action of G in M. Twisted functions are sections of the bundle, and the action is the natural action.

This way of constructing a model was used by A. A. Klyachko [4] in his construction of a model for the symmetric group Sn. For MβŠ‚Sn, Klyachko used the set of all β€œinvolutions” M={s∈Sn|s2=1}. (Later the significance of the manifold of involutions in the representation theory was demonstrated by Anne Melnikov [5].) In our construction of a model for the group Gn, we follow this idea: MβŠ‚Gn is precisely the set of involutions in the case p=2. For p>2, there are no involutions in Gn (besides the identity), and we need to modify the definition of M. We do it in the section 5.2 below.

5.2 The case of 𝐆𝐧: the set M, stabilizers and characters.

For the set MβŠ‚Gn (see Section 5.1) we take the set of matrices g⁒(a1,…,an;b1,…,bnβˆ’1)∈Gn with ai⁒ai+1=0 for i=1,…,nβˆ’1. Thus, the subscripts i, for which aiβ‰ 0 must form a sparse sequence in {1,…,n}. In other words, M is the union of all M-classes, which we studied in details in Section 3.3. In Section 3.3.2, we formed unions of M-classes, which we called containers. Containers correspond to sparse sequences IβŠ‚{1,…,n}; the container C⁒(I) consists of those g⁒(a1,…,an;b1,…,bnβˆ’1), for which aiβ‰ 0 if and only if i∈I. Every M-class belongs to one container.The number of containers in Gn is the Fibonacci number Fn+2.

Recall two useful definitions from Section 3.3. We denote by Iβˆ’ the set of those i, for which either i+1 or iβˆ’1 belongs to I. It is obvious that Iβˆ’βˆ©I=βˆ…. The complement {1,…,n},βˆ’Iβˆ’βŠƒI is denoted by I+. A class cβŠ‚C⁒(I) is determined by |I| a-invariants aiβ‰ 0,i∈I and |I+|βˆ’1 b-invariants, which are allowed to be 0 (see Sections 3.1 and 3.3.2). Thus, the container C⁒(I) contains (qβˆ’1)|I|⁒q|I+|βˆ’1 classes; every class in C⁒(I) contains qnβˆ’|I+| elements of Gn.

All g∈C⁒(I) have the same stabilizer, which we denote by Stab(I). We repeat the description of Stab(I) from Section 3.3.2. Let Iβˆ’ be the set of those i, for which either i+1 or iβˆ’1 belongs to I. It is obvious that Iβˆ’βˆ©I=βˆ…. The complement {1,…,n},βˆ’Iβˆ’βŠƒI is denoted by I+. The stabilizer Stab(I) consists of g⁒(a1,…,an;b1,…,bnβˆ’1) such that ai=0 for i∈Iβˆ’, that is, ai may be different from zero only for i∈I+.

The group Stab(I) is normal, but may be non-commutative. Its commutator subgroup consists of all g⁒(a1,…,an;b1,…,bnβˆ’1) with all a’s and b’s being zero, with a possible exception of those bj, for which j,j+1∈I+. Hence, every homomorphism Ο‡:Stab(I)β†’β„‚Γ— has the form

(9) χ⁒(g⁒(a1,…,an;b1,…,bnβˆ’1))=∏𝐞⁒(Ai⁒ai)β‹…βˆπžβ’(Bj⁒bj),

where Ai,Bjβˆˆπ”½q, Ai=0 for i∈Iβˆ’, and Bj=0, if j,j+1∈I+. (Recall that 𝐞 is a fixed non-trivial homomorphism of the additive group of the field 𝔽q into the multiplicative group β„‚βˆ— – see Section 4.) Thus, the construction of a model will involve a choice of the coefficients Ai and Bj for every M-class. This choice will be done in Section 5.X.

In conclusion, we provide a formula for the character of the representation of Gn induced by a 1-dimensional representation of Stab(I) with the character (9).

According to the classical Frobenius formula, if Ο‡ is the character of some finite-dimensional representation of a subgroup H of a finite group G, then the character Ο‡^ of the induced representation of G is described by

Ο‡^⁒(s)=1|H|β’βˆ‘t∈G,tβˆ’1⁒s⁒t∈Hχ⁒(tβˆ’1⁒s⁒t).

If the subgroup H is normal (which is our case), then the description becomes

Ο‡^⁒(s)=0,if⁒sβˆ‰H,and⁒χ^⁒(s)=1|H|β’βˆ‘t∈Gχ⁒(tβˆ’1⁒s⁒t),if⁒s∈H

The formulas for the group operations in Gn (Section 1) imply the formula for the conjugation:

g⁒(Ξ±1,…,Ξ±n;Ξ²1,…,Ξ²nβˆ’1)βˆ’1⁒g⁒(a1,…,an;b1,…,bnβˆ’1)⁒g⁒(Ξ±1,…,Ξ±n;Ξ²1,…,Ξ²nβˆ’1)=g⁒(a1,…,an;b1+a1⁒α2βˆ’a2⁒α1,…,bnβˆ’1+anβˆ’1⁒αnβˆ’an⁒αnβˆ’1).

In our case, the Frobenius formula gives (we use the notations aΒ―={a1,…,an} and bΒ―={b1,…,bnβˆ’1}:

Ο‡^⁒(g⁒(aΒ―,bΒ―))=1|Stab(I)|β’βˆ‘Ξ±i,Ξ²j(∏𝐞⁒(Ai⁒ai)β‹…βˆπžβ’(Bj⁒(bj+aj⁒αj+1βˆ’aj+1⁒αj))).

The expression under βˆ‘Ξ±i,Ξ²j does not depend on β’s and on Ξ±i with i∈I+, so the formula may be simplified:

Ο‡^⁒(g⁒(aΒ―,bΒ―))=χ⁒(g⁒(aΒ―,bΒ―))β‹…βˆj∈Iβˆ’βˆ‘Ξ±j⁒j𝐞⁒((Bjβˆ’1⁒ajβˆ’1βˆ’Bj⁒aj+1)⁒αj).

Since βˆ‘y𝐞⁒(x⁒y)={q,if⁒x=0,0,if⁒xβ‰ 0,we arrive at the final result:

Ο‡^⁒(g⁒(aΒ―,bΒ―))={q|Iβˆ’|⁒χ⁒(g⁒(aΒ―,bΒ―)),if⁒for⁒every⁒j∈Iβˆ’,aj=0⁒and⁒Bjβˆ’1⁒ajβˆ’1=Bj⁒aj+1,0otherwise.

5.3 Flocks.

5.3.1. Introduction.

The construction of a model for the group Gn, which we outlined in Section 5.1, is supposed to make every irreducible representation of Gn an irreducible component of a certain representation of Gn induced from a 1-dimensional representation of the stabilizer Stab(c) of a certain M-class cβŠ‚Gn. This would determine a mapping

[Uncaptioned image]

This map, actually, will take irreducible representations related to one ordered partition of n (see Section 4.3) into M-classes from one container (we will see in Section 5.X that there will be one small exception to this rule), the mapping (10) will be a refinement of a certain mapping

[Uncaptioned image]

For every n, the number of containers is the Fibonacci number Fn+2, while the number of partitions is 2nβˆ’1. If n is large enough (n>4), then 2nβˆ’1>Fn+2 (for example, for n=6 these two numbers are 32 and 21, and for n=10 they are 512 and 144). So, we must be prepared to the fact that several partitions will be assigned to the same container. For the sets of partitions, which are going to be assigned to one container, we will use the term flocks. We will begin with a descriptions of flocks.

5.3.2. Description of flocks.

In Section 2.3.2, we introduced a definition of two types of (ordered) partitions: even and odd. Remind that an ordered partition n=n1+n2+⋯+nm belongs to the even (odd) type, if the first ni≠1 (if such ni exists) is even (odd). According to this definition, the partition n=1+1+⋯+1 belongs to the both types.

Remind some useful notations from Section 2.3. The numbers of even and odd terms in the partition of n are denoted, respectively, by ΞΌ and Ξ½; the numbers n and Ξ½ are of the same parity, and number (nβˆ’Ξ½)/2 is denoted by k.

All the partitions within a flock will be of the same, even or odd, type. Accordingly, we will speak of flocks of even or odd type. Every flock will be an interval with respect to the partial ordering of partitions (see Section 2.3.1), that is, it has a head β„‹ and a tail 𝒯 and consists of all partitions 𝒫 such that β„‹βͺ―𝒫βͺ―𝒯.

The head of a partition of odd type must be a partition into Ξ½=nβˆ’2⁒k odd parts and no even parts. The tail of a partition of odd type must have the first term greater than 1 (if there is any) equal to 3, and all the other terms equal to 1 or 2. To obtain the tail from the head n=n1+n2+β‹―+nΞ½ we replace the first ni≀3 by 3+2+β‹―+2 and every other ni by 1+2+β‹―+2. For example, if the head is 1+7+3+1+3, then the tail will be 1+3+2+2⏟+1+2⏟+1+1+2⏟. Every partition n=n1+β‹―+nm of the odd type belongs to precisely one flock of the odd type. To obtain the head of this flock we need to combine every odd ni with all even terms after it (and before the next odd term); to obtain the tail of this partition, we need to replace the first odd term greater than 1 by 3+2+β‹―+2, every other odd term by 1+2+β‹―+2 and every even term by 2+2+β‹―+2.

The head of a partition of even type must begin with 1+1+β‹―+1+ even term and have all the terms after that odd. The tail of a partition of the even type must consist of 1’s and 2’s. To obtain the tail from the head, we replace the even term (if there is any) by 2+2+β‹―+2 and replace every odd term by 1+2+β‹―+2. For example, if the head is 1+1+4+3+5, then the tail will be 1+1+2+2⏟+1+2⏟+1+2+2⏟. Every partition n=n1+β‹―+nm of the even type belongs to precisely one flock of the even type. To obtain the tail of this flock, we need to replace every odd term by 1+2+β‹―+2 and every even term by 2+2+β‹―+2. To obtain the head of this flock we keep the 1’s before the first term greater than 1 unchanged, then combine the even terms after these 1’s and before the next odd term, and then combine every odd term with all the even terms after it (and before the next odd term. For example, the partition 1+2+4+5+2+3 of the even type belongs to the flock of the even type with the head 1+6+7+3 and the tail 1+2+2+2⏟+1+2+2⏟+2+1+2⏟.

Notice that the number Ξ½ of odd terms (but not the number ΞΌ of even terms!) and hence the number k are fixed within the flock (of any type).

Notice also that it is convenient to count flocks of the odd type by heads and flocks of the even type by tails. Namely, the number of flocks of the odd type is the number of partitions of n into odd parts, which is Fn (Proposition 2.7). And the number of flocks on the even type is the number of partitions of n into 1’s and 2’s, which is Fn+1 (Proposition 2.6). Thus the whole number of flocks is Fn+Fn+1=Fn+2, which conveniently coincides with the number of M-classes (see Section 3.3.1).

5.3.3. Pictures and examples

It is convenient to present this procedure on a picture.

First we draw n heavy dots in line. Then we put dividers between some dots, so the line is divided into parts, and this partition is the head of a flock. To obtain the tail, we should add some dividers, and we draw them as dotted lines. The description of flocks given above provides an instruction for choosing places for dotted dividers. Namely, for flocks of the even type, we divide every even part into 2+2+β‹―+2 and every odd part into 1+2+β‹―+2. For the flocks of the odd type, the rules are the same with one exception: we divide the leftmost (odd) part of length β‰₯3 into 3+2+β‹―+2. It easy to prove (we leave this to the reader) that the number of dotted lines will be kβˆ’1. All the partitions in our flock are obtained by using all solid dividers and some subset of the set of dotted dividers. Since the set of kβˆ’1 dotted dividers have 2kβˆ’1 subset, our flock will contain 2kβˆ’1 partitions.

Two examples of this construction are shown below (n=12, odd type, and k=4 in the picture on the left, and n=11, even type, and k=4 in the picture on the right.

[Uncaptioned image]

Below, we show this splitting of the set of partition into flocks for n=6 and n=7.

5.3.4. The cases n = 6 and 7

n = 6, odd type

[Uncaptioned image]

n = 6, even type

[Uncaptioned image]

n = 7, odd type

[Uncaptioned image]

n = 7, even type

[Uncaptioned image]

Notice that the partition n=1+1+β‹―+1 belongs to both even and odd types and is considered as two flocks. Notice also that the numbers of partitions of the odd and even type (8 and 13 for n=6 and 13 and 21 for n=7) agree with the computations in the end of Section 5.3.2.

In the diagrams above, each flock is accompanied by the indication of the container, which is assigned to this flock; we will explain a way to determine this container in the next section.

5.3.5. The correspondence containers ⟷ flocks.

For every flock, we need to assign a container C⁒(I) with some sparse sequence I={i1,…,im}. We do this in the following way.

First of all, to flocks of the odd (even) type, we will assign a sparse sequence, which contains 1 (which does not contain 1).

If the flock is of even type, then its closing partitions consists of 1’s and 2’s. More precisely, there are nβˆ’2⁒k 1’s and k 2’s. Let i1,…,ik be the numbers of parts equal to 2 (we assume that i1<β‹―<ik). Then the container corresponding to this flock is C⁒(i1+1,…,ik+k). (Notice that the total number of parts is (nβˆ’2⁒k)+k=nβˆ’k, so mk+k≀n.)

If the flock is of odd type, then in its closing partition the first part greater than 1 is 3, and all the subsequent parts are 1’s and 2’s. Thus, in this partition nβˆ’2⁒kβˆ’1 parts are 1’s, kβˆ’1 parts are 2’s, and one part is 3. Let 11 be the number of the part 3, and i2,…,ik are numbers of parts equal to 2 (again we assume that m1<β‹―<mk). The container corresponding to this flock will be C⁒(1,11+2,12+3,…,1k+(k+1)).(Notice that the total number of parts is (nβˆ’2⁒kβˆ’1)+(kβˆ’1)+1=nβˆ’k-1, so mk+(k+1)≀n.)

(We should remark that the partition 1+1+β‹―+1 appears as both a flock of the odd type and a flock of the even type. As such, it is assigned to the container C⁒(1) and to the container C⁒().)

It is easy to check that the choice of containers in the cases n=6 and n=7 shown in the diagrams in Section 5.3 agrees with the rules described here.

5.4 Characters of the representations in a flock.

The main idea is that for partitions from the same flock, the characters of corresponding irreducible representations look almost the same. We will explain this on the examples considered in Section 5.3.2.

5.4.1. The case of the even type.

We begin with the example of the even type flock with the head 11=1+4+3+3 and the tail 11=1+2+2+1+2+1+2⁒(n=11,k=4) from Section 5.3.3. Let us supplement the dots/dividers diagram corresponding to this flock with the notations Ξ±1,Ξ±2,…,Ξ±11 (corresponding to the dots) and Ξ²1,Ξ²2,…,Ξ²10 (corresponding to the spaces between the dots):

[Uncaptioned image]

The characters of representations corresponding to the partitions from this flock were computed in Section 4.2. The formula begins with the factor qk=q4, contain the factors 𝐞⁒(xi⁒αi) for first Ξ± at every odd term in the head partition (Ξ±1,Ξ±6, and Ξ±7 in our example, overlined in the diagram and 𝐞(yjΞ²j for all β’s except those corresponding to the solid dividers (marked with crosses in the diagram). Also, in the diagram we underlined the β’s, which correspond to the dotted dividers; they may disappear in the characters of representations, corresponding to non-head partitions in the flocks. It is convenient to assume that the underlined y’s are allowed to be zero, while the terms not underlined must be different from zero. So, here is the character:

q4⁒𝐞⁒(x1⁒α1)⁒𝐞⁒(x6⁒α6)⁒𝐞⁒(x9⁒α9)⁒𝐞⁒(y2⁒β2)⁒𝐞⁒(y3⁒β3)¯⁒𝐞⁒(y4⁒β4)⁒𝐞⁒(y6⁒β6)¯⁒𝐞⁒(y7⁒β7)⁒𝐞⁒(y9⁒β9)¯⁒𝐞⁒(y10⁒β10)

if Ξ±2=Ξ±3=Ξ±4=Ξ±7=Ξ±10=0 and Ξ±6:Ξ±8=y7:y6,Ξ±9:Ξ±11=y10:y9, and is zero otherwise. It is worth noticing that we underline every second term with Ξ².

The transition from the example to the general case is straightforward. We will only add the formulas for the numbers of the terms with α’s and underlined and not underlined terms with β’s.

The number of overlined α’ s (same as the number of factors with α’s in the formula) is the number of odd terms in the partitions of the flock: it is nβˆ’2⁒k.

The number of crossed β’s is the number of solid dividers, which is one less that the number of terms in the head partition; so, it is also nβˆ’2⁒k. Thus the number of β’s in the formula for the character is (nβˆ’1)βˆ’(nβˆ’2⁒k)=2⁒kβˆ’1.

The number of underlined Ξ²-factors is the number of dotted dividers is kβˆ’1 (see Section 5.3.3). Hence, the number of Ξ²-factors not underlined is (2⁒kβˆ’1)βˆ’(kβˆ’1)=k.

5.4.2. The case of the odd type.

Again, we begin with the example of the odd type flock from Section 5.3.3. The head and the tail of this flock are 12=3+1+5+3 and 12=3+1+1+2+2+1+2 (thus, n=12,k=4). We consider the dots/dividers diagram similar to that in Section 5.4.1.

[Uncaptioned image]

The formula for the character is obtain according to he same rules as in the even case:

(11) q4𝐞(x1Ξ±1)𝐞(x4Ξ±4)𝐞(x5Ξ±5)𝐞(x10Ξ±10)β‹…πžβ’(y1⁒β1)⁒𝐞⁒(y2⁒β2)⁒𝐞⁒(y5⁒β5)¯⁒𝐞⁒(y6⁒β6)⁒𝐞⁒(y7⁒β7)¯⁒𝐞⁒(y8⁒β8)⁒𝐞⁒(y10⁒β10)¯⁒𝐞⁒(y11⁒β11),

if Ξ±2=Ξ±6=Ξ±8=Ξ±11=0 and Ξ±3:Ξ±1=y1:y2,Ξ±7:Ξ±5=y5:y6,Ξ±9:Ξ±7=y7:y8,Ξ±12:Ξ±10=y10:y11, and is zero otherwise.

The number of overlined α’s is the same as in the even case: nβˆ’2⁒k (it is the number of odd terms in the partition).

The number of crossed β’s is again the number of solid dividers, thus it it one less than the number of terms in the partition. But now it is nβˆ’2⁒k, so the number of crossed β’s is nβˆ’2⁒kβˆ’1. Thus the number of β’s in the formula for the characters is (nβˆ’1)βˆ’(nβˆ’2⁒kβˆ’1)=2⁒k .

The number of underlined Ξ²-factors is again the number of dotted dividers is kβˆ’1. Hence, the number of Ξ²-factors not underlined is 2⁒kβˆ’(kβˆ’1)=k+1.

5.5 The end of the construction of a model.

It remains to specify the one-dimensional representations (the characters) of the stabilizer of the classes within the container corresponding to a flock. Again, we will give the details of the construction for the examples of Section 5.3.3 and then discuss the general case.

5.5.1. The case of the even type; the example.

Again, we begin with the example of the flock with the head 11=1+4+3+3 and the tail 11=1+2+2+1+2+1+2 from Section 5.3.3. According to Section 5.3.5, the container corresponding to this section is C⁒(I), where I={3,5,8,11}. In the notations of Section 3.3.2, Iβˆ’={2,4,6,7,9,10} and I+={1,3,5,8,11}. The classes in this container are characterized by

4 a-invariants, a3,a5,a8,a11βˆˆβ„±qβˆ’0 and

4 b-invariants, b1,b3⁒a5+b4⁒a3,b6,b9βˆˆβ„±q.

The characters of representations induced by 1-dimensional representations of the common stabilizer

Stab(i)={g⁒(Ξ±1,0,Ξ±3,0,Ξ±5,0,0,Ξ±8,0,0,Ξ±11;Ξ²1,…,Ξ²10)}

of classes in C⁒(I) are

(10) (Ξ±Β―,Ξ²Β―)↦⁒q6⁒𝐞⁒(A1⁒α1)⁒(A3⁒α3)⁒(A5⁒α5)⁒(A8⁒α8)⁒(A11⁒α11)⁒𝐞⁒(B1⁒β1)β’β€¦β’πžβ’(B10⁒β10),

if for i∈Iβˆ’, Ξ±i=0 and Biβˆ’1⁒αiβˆ’1=Bi⁒αi+1 and 0 otherwise.

The characters of representations corresponding to our flock are

(11) q4⁒𝐞⁒(x1⁒α1)⁒𝐞⁒(x6⁒α6)⁒𝐞⁒(x9⁒α9)⁒𝐞⁒(y2⁒β2)⁒𝐞⁒(y3⁒β3)¯⁒𝐞⁒(y4⁒β4)⁒𝐞⁒(y6⁒β6)¯⁒𝐞⁒(y7⁒β7)⁒𝐞⁒(y9⁒β9)¯⁒𝐞⁒(y10⁒β10),

where x’s and y’s are element of 𝔽q, different from 0 for y’s not underlined. We need to choose values for A’s and B’s in terms of a- and b-invariants to accommodate the formulas (10) and (11). For values of B2,B4,B7,B10 we take (in any order) the a-invariants a3,a5,a8,a11. For B3,B6,B9, we take (in any order) three of the four b-invariants, say, b3⁒a5+b4⁒a3,b6,b9. The remaining b-invariant, b1, we take for the value of A1 (taking into consideration the fact that Ξ±1 appears in both formulas (10) and (11)). For the remaining Ai’s and Bj’s in (10) we assume zero values.

Still two discrepancies in the formulas (10) and (11) remain. First, the first factors in (10) and (11) are different: q6 and q4. Second, (11) contains terms with Ξ±6 and Ξ±9, while (10) does not. Both can be eliminated by the following move. We remove the conditions Ξ±6=Ξ±9=0 and replace q6=q4β‹…q2 by q4β‹…(βˆ‘A6βˆˆπ”½qA6⁒α6)β‹…(βˆ‘A9βˆˆπ”½qA9⁒α9). Then the character (10) (of capacity q6) becomes the sum of characters (11) of q4-dimensional representations labelled by A6,A9βˆˆπ”½q.

5.5.2. The case of the odd type; the example.

Now we consider the flock with the with the head 12=3+1+5+3 and the tail 12=3+1+1+2+2+1+2 (see Section 5.3.3). According to Section 5.3.5, the container corresponding to this section is C⁒(I), where I={1,3,7,9,12}. In the notations of Section 3.3.2, Iβˆ’={2,4,6,8,10,11} and I+={1,3,5,7,9,12}. The classes in this container are characterized by

5 a-invariants, a1,a3,a7,a9,a12βˆˆβ„±qβˆ’0 and

5 b-invariants, b1⁒a1+b2⁒a3,b4,b5,b7⁒a7+b8⁒a9,b10βˆˆβ„±q.

The formulas similar to (10) and (11) are

(12) q6⁒𝐞⁒(A1⁒α1)⁒𝐞⁒(A3⁒α3)⁒𝐞⁒(A5⁒α5)⁒𝐞⁒(A7⁒α7)⁒𝐞⁒(A9⁒α9)⁒𝐞⁒(A12⁒α12)⁒𝐞⁒(B1⁒β1)β’β€¦β’πžβ’(B11⁒β11)

and

(13) q4𝐞(x1Ξ±1)𝐞(x4Ξ±4)𝐞(x5Ξ±5)𝐞(x10Ξ±10)β‹…πžβ’(y1⁒β1)⁒𝐞⁒(y2⁒β2)⁒𝐞⁒(y5⁒β5)¯⁒𝐞⁒(y6⁒β6)⁒𝐞⁒(y7⁒β7)¯⁒𝐞⁒(y8⁒β8)⁒𝐞⁒(y10⁒β10)¯⁒𝐞⁒(y11⁒β11)

The coefficients y in the non-underlined factors in (13) must be non-zero, so we used for them the a-invariants: a1,a3,a7,a9,a12 for B1,B2,B6,B8,B11. For B5,B7,B10, we use the b-invariants, say, b5,b7⁒a7+b8⁒a9,b10, and the remaining b-invariants we assign to the coefficients A1,A5 in the terms with α1 and α5, which appear in the both formulas (12) and (13). All the other coefficients A and B in (12) are assumed to be zero.

The last step repeats the last step in the previous case: we remove the conditions Ξ±4=Ξ±10=0 and replace q6 in (12) by q4β‹…(βˆ‘A4βˆˆπ”½qA4⁒α4)β‹…(βˆ‘A10βˆˆπ”½qA10⁒α10).

5.5.3. General case

Let us consider in the general case the construction of the character of the stabilizer which was described above for examples.

First we take the non-underlined factors 𝐞⁒(y⁒β) in the formulas like (11) and (13) and assign for their coeficients the a-invariants. But the numbers of non-underlined terms and a-invariants agree: they both are k for the even type and k+1 for the odd type. Thus, this step works in the general case.

Next we use b-invariants for the underlined factors 𝐞⁒(y⁒β). The number of these factors is |I|βˆ’1 in the even case and |I|βˆ’2 in the odd case, while the total number of b-invariants is always |I+|βˆ’1. But I+βŠ‡I, so |I+|β‰₯|I|, hence there are sufficient quantity of b-invariants. Moreover, |I+|βˆ’|I| b-invariants in the even case and |I+|βˆ’|I|+1 b-invariants in the odd case and remain for the next step.

Next step consists in assigning the remaining b-invariants to the coefficients to Ξ±i, which appear both characters we consider. We need to check that the numbers of these b-invariants and these Ξ±i are the same. The cases of the even and odd types are slightly different. In the even type case the number of remaining b-invariants is |I+βˆ’I|. The elements of I+βˆ’I correspond to those 1’s ion the tail partition, which do not follow 2; the same 1’s correspond to the common α′⁒s in the two characters. The only difference in the odd type case is that 1 belongs to I, and hence not to I+βˆ’I, while Ξ±1 appears in the both characters. This leads to the additional 1 in the expression |I+βˆ’I|+1 for the number of common Ξ±i’s in the two characters.

And the last step: the difference between |Iβˆ’| and k in the two characters should be compensated by the unused part of the number of Ξ±i in the character of the representations in the flock |I+βˆ’I|=|I+|βˆ’k. In is easy:

(nβˆ’2⁒k)βˆ’(|I+|βˆ’k)=nβˆ’2⁒kβˆ’|I+|+k=nβˆ’2⁒kβˆ’(nβˆ’|Iβˆ’|)+k=|Iβˆ’|βˆ’k.

5.5.4. The possible non-commutativity of the stabilizer does not matter.

If the stabilizer Stab(I) is not commutative, then some Ξ²-factors in the formula for the character of the stabilizer (like (10) or (12)) may be missing. But this does not affect our construction. The reason is that this missing β’s appear, when there are gaps in I of the length 3 or more (even 4 or more, if this gap inside I, not in one of the ends). In this case, there are at least two 1’s in a row in the tail partition of the flock, they have to be separated by a solid divider (there are at most one 1 between any two successive dividers), and the corresponding Ξ² is missing also in the character of the representation in the flock (formula like (11) or (13)).

References

  • [1] A. A. Kirillov. Lectures on the orbit method, Graduate Studies in Mathemetics, vol. 64, AMS, 2004.
  • [2] I. N. Bernstein, I. M. Gelfand, S. I. Gelfand. Models of representations of compact Lie groups, Funct. Anal. and Appl., 9, no. 4 (1975), 61–62.
  • [3] I. M. Gelfand, A. V. Zelevinsky. Representation models for classical group and their hidden symmetries. Func. Anal. and Appl., 18, no. 3 (1984), 14–31.
  • [4] A. A.Klyachko, Modular forms and representations of symmetric groups, J. Sov. Math., 26 (1984), 1879–1887.
  • [5] A. Melnikov, B-orbits in solutions of the equation X2=0 in triangular matrices J. Alg., 223 (2000), 101–108.